Subjects
Online Tutoring
Homework Help
Homework Library
Tutors
Online Classes
More
Bookstore
Blog
Technical Tips
FAQ
Contact Us
Get Help Now
Home
Homework Library
Mathematics
Probability
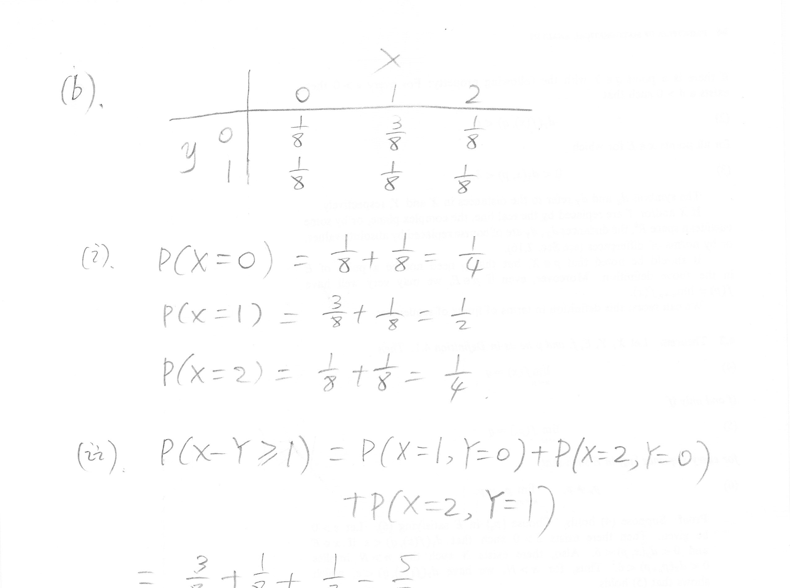
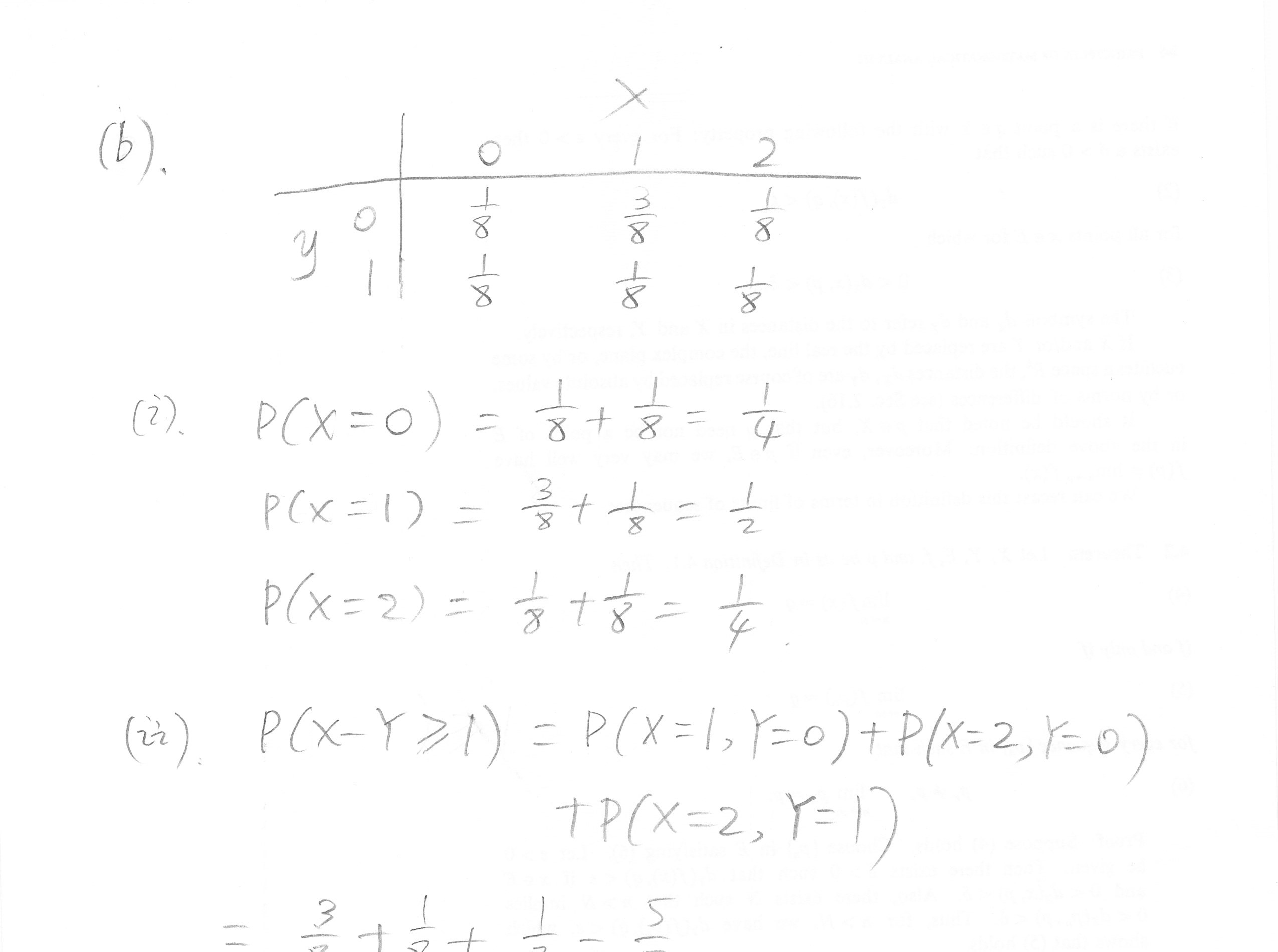
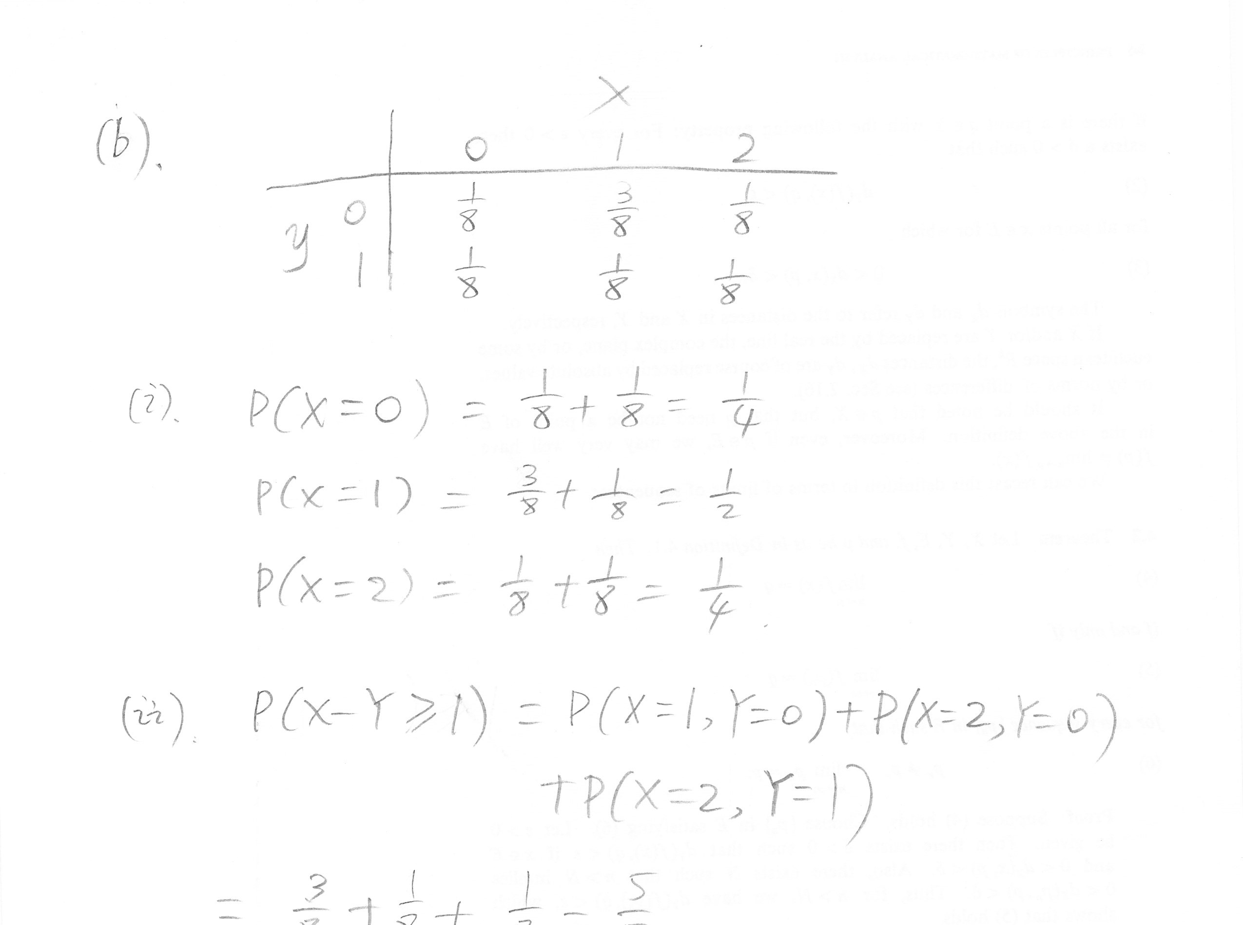
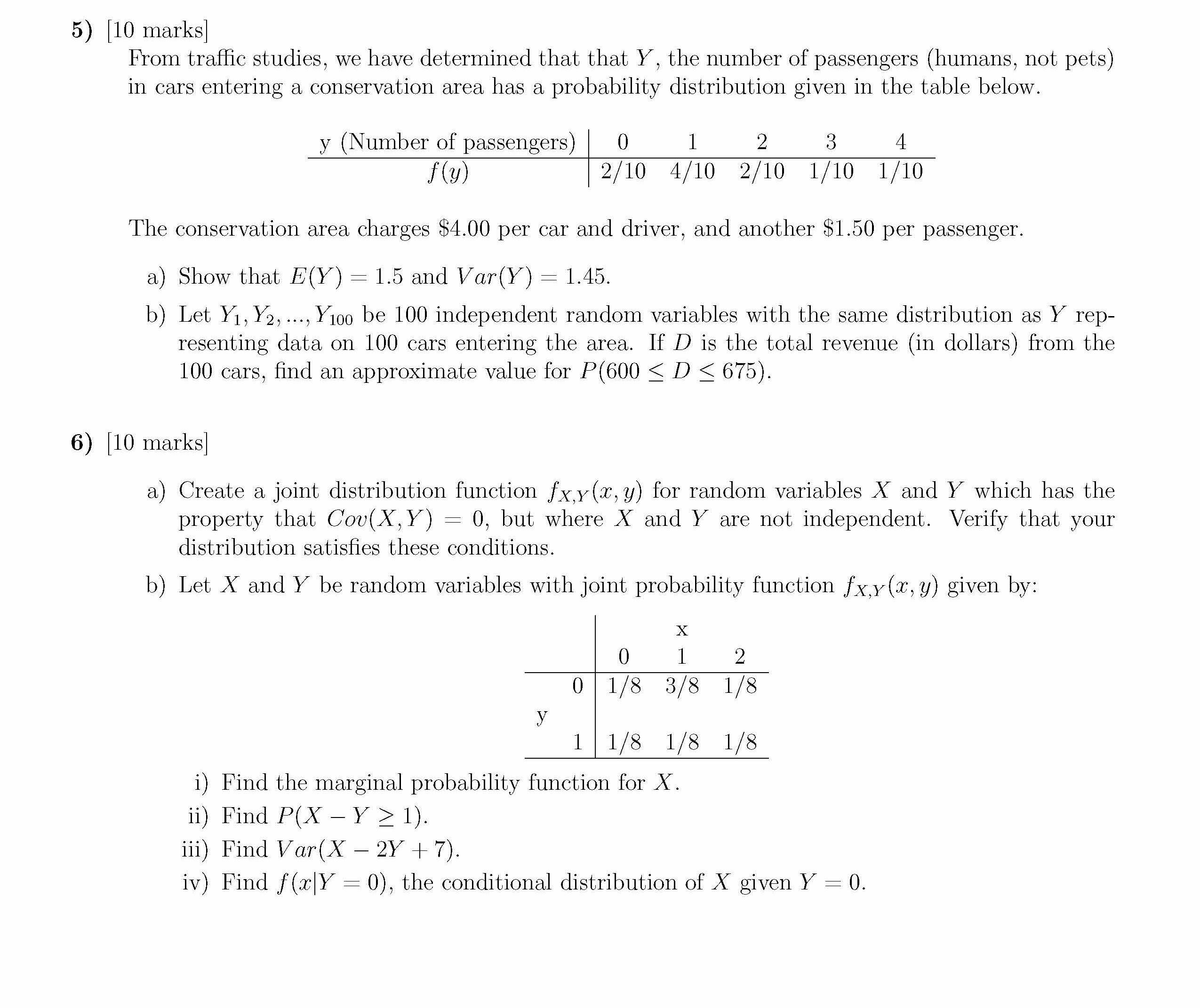
5) [10 marks] From traffic studies, we have determined that that Y...
5) [10 marks] From traffic studies, we have determined that that Y...