Subjects
Online Tutoring
Homework Help
Homework Library
Tutors
Online Classes
More
Bookstore
Blog
Technical Tips
FAQ
Contact Us
Get Help Now
Home
Homework Library
Mathematics
Probability
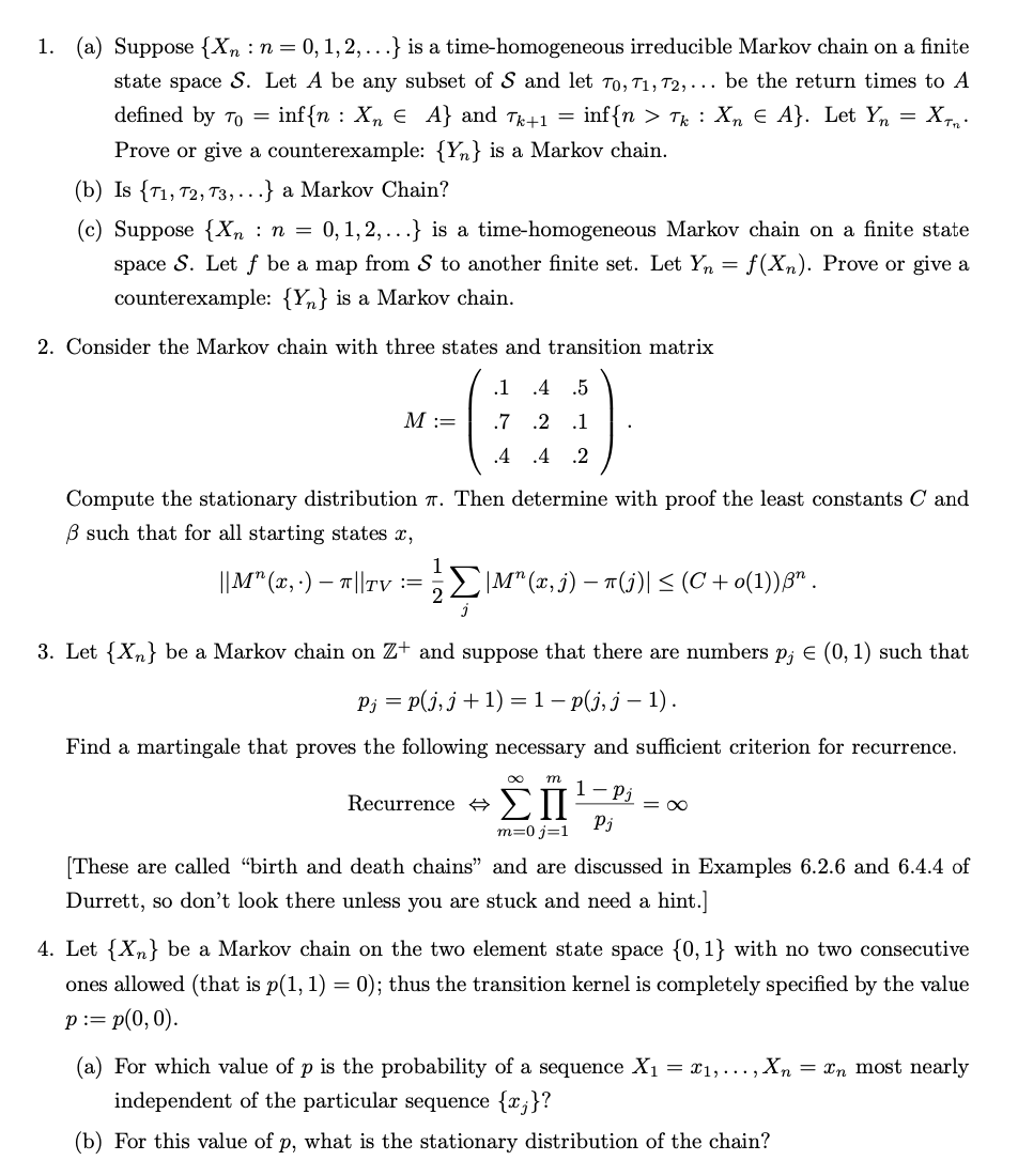
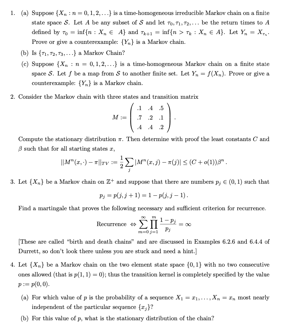
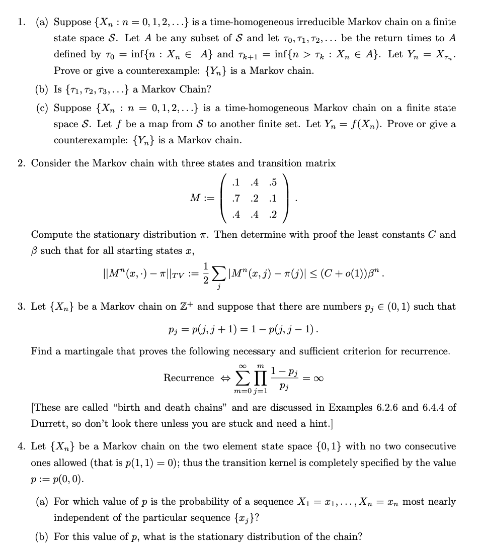
1. (a) Suppose {Xn :n = 0,1,2, } is a time-homogeneous irreducibl...
1. (a) Suppose {Xn :n = 0,1,2, } is a time-homogeneous irreducibl...