Subjects
Online Tutoring
Homework Help
Homework Library
Tutors
Online Classes
More
Bookstore
Blog
Technical Tips
FAQ
Contact Us
Get Help Now
Home
Homework Library
Mathematics
Probability
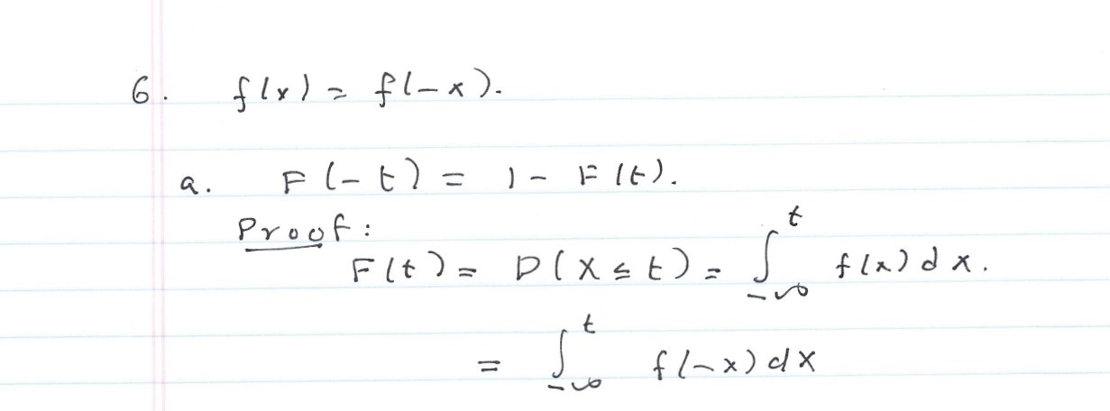
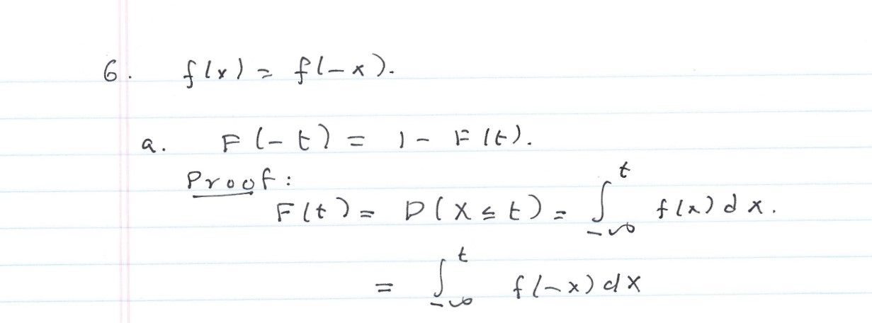
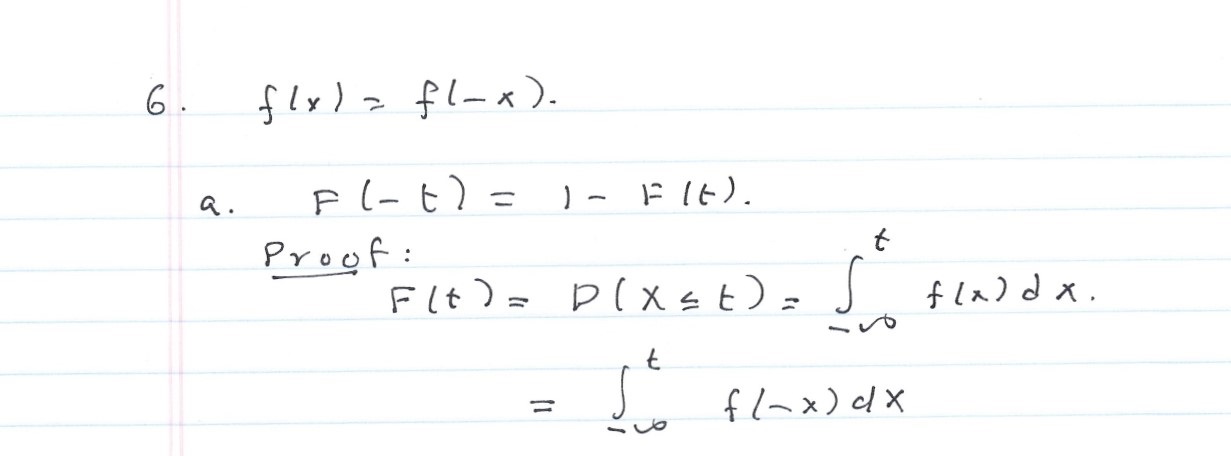
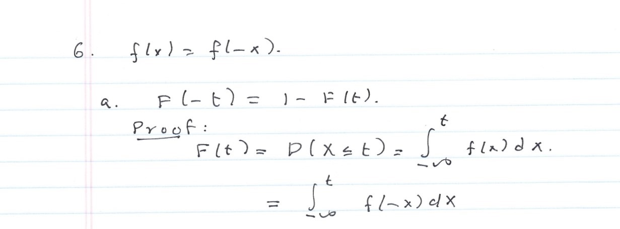
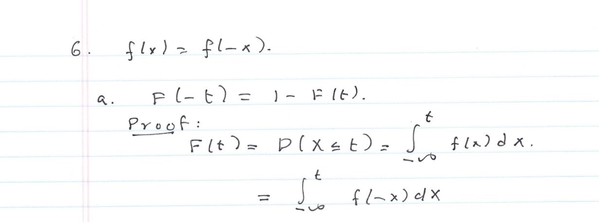
6 . If f(x) = FC-x) , xx a. show that F(-t) = 1-F(t) b. If W=1Y...
6 . If f(x) = FC-x) , xx a. show that F(-t) = 1-F(t) b. If W=1Y...