Subjects
Online Tutoring
Homework Help
Homework Library
Tutors
Online Classes
More
Bookstore
Blog
Technical Tips
FAQ
Contact Us
Get Help Now
Home
Homework Library
Mathematics
Probability
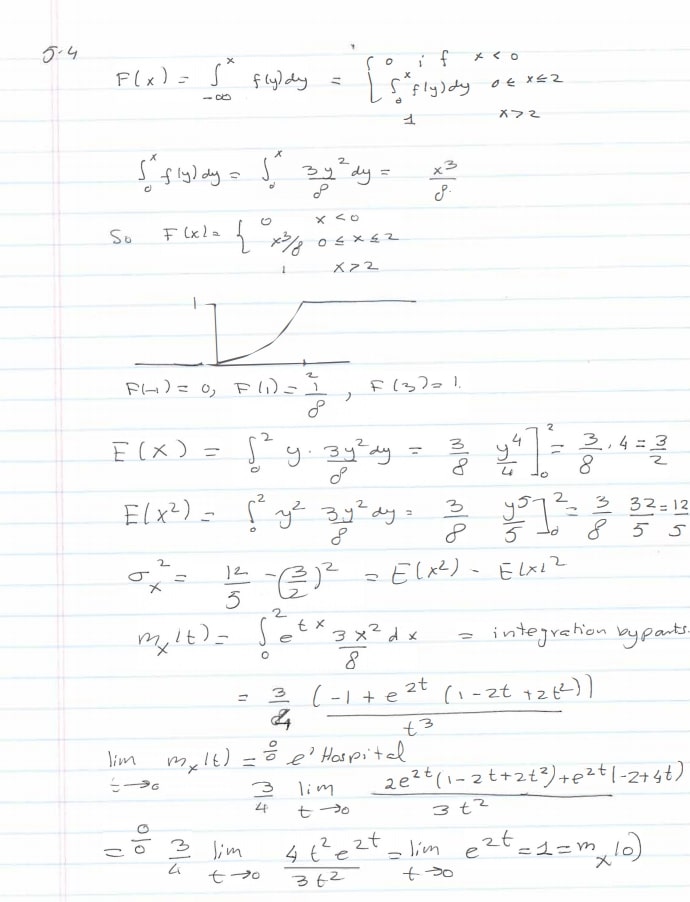
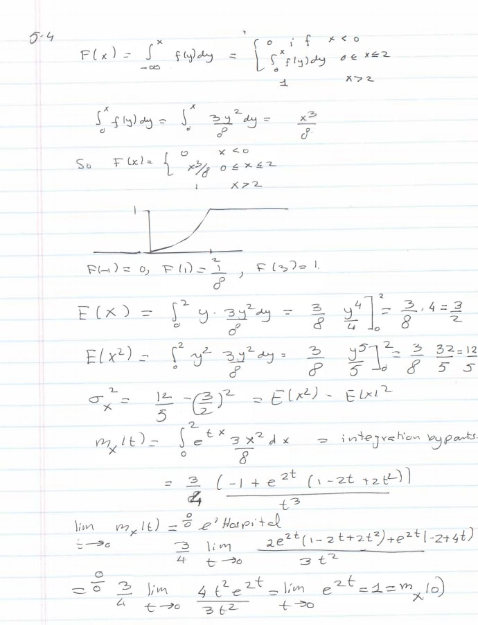
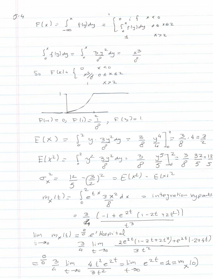
⇒ 5.4. The random variable X has a continuous density functi...
⇒ 5.4. The random variable X has a continuous density function gi...