Subjects
Online Tutoring
Homework Help
Homework Library
Tutors
Online Classes
More
Bookstore
Blog
Technical Tips
FAQ
Contact Us
Get Help Now
Home
Homework Library
Mathematics
Probability
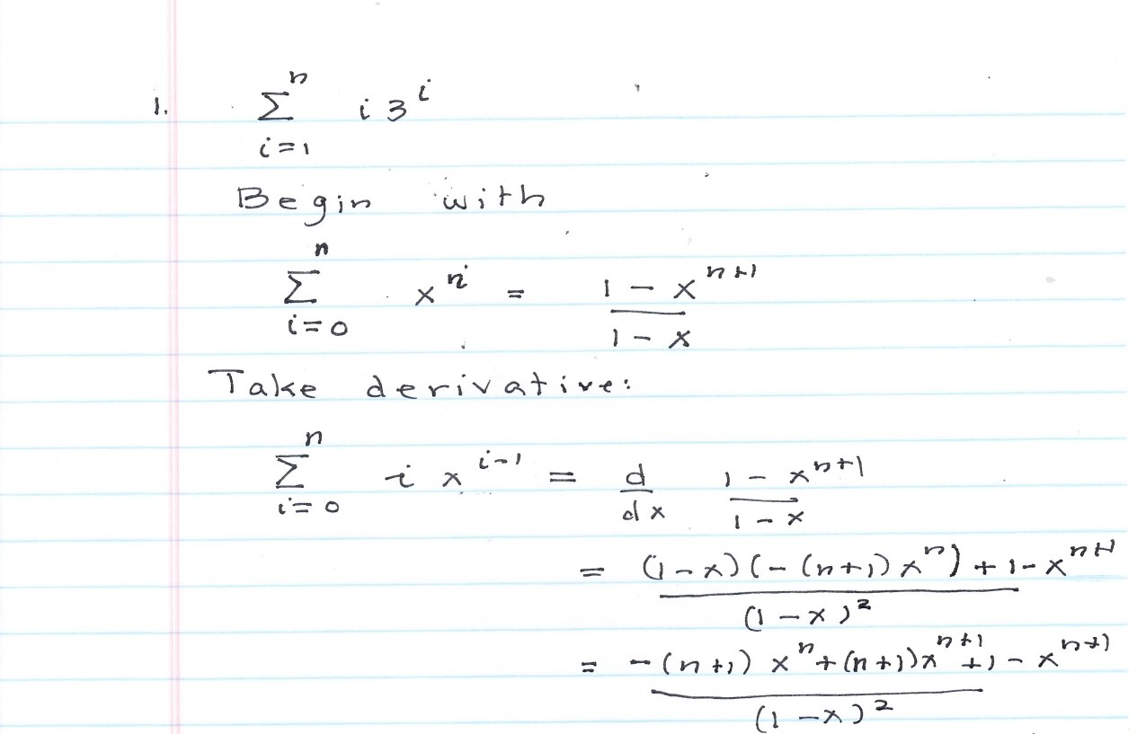
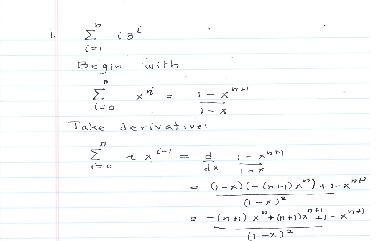
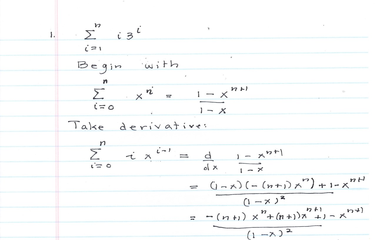
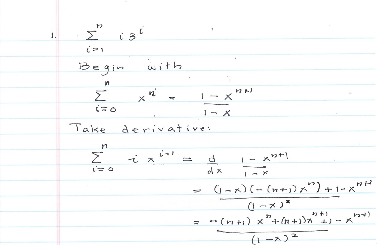
1. Find a closed formula for i 3 by representing this expression as...
1. Find a closed formula for i 3 by representing this expression as...