Subjects
Online Tutoring
Homework Help
Homework Library
Tutors
Online Classes
More
Bookstore
Blog
Technical Tips
FAQ
Contact Us
Get Help Now
Home
Homework Library
Mathematics
Probability
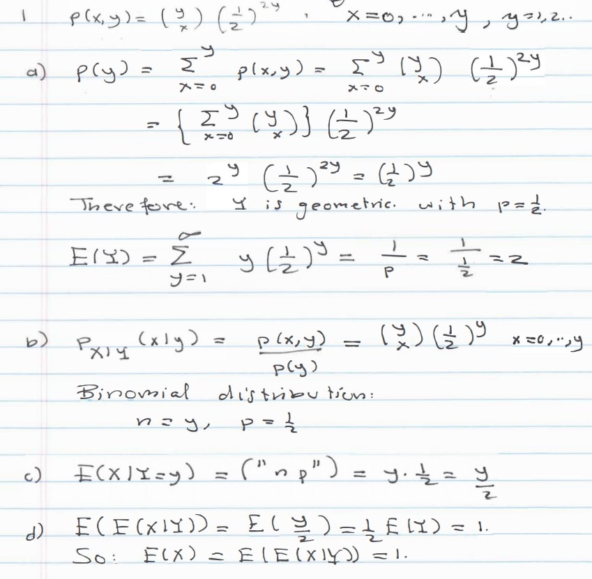
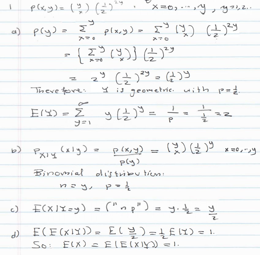
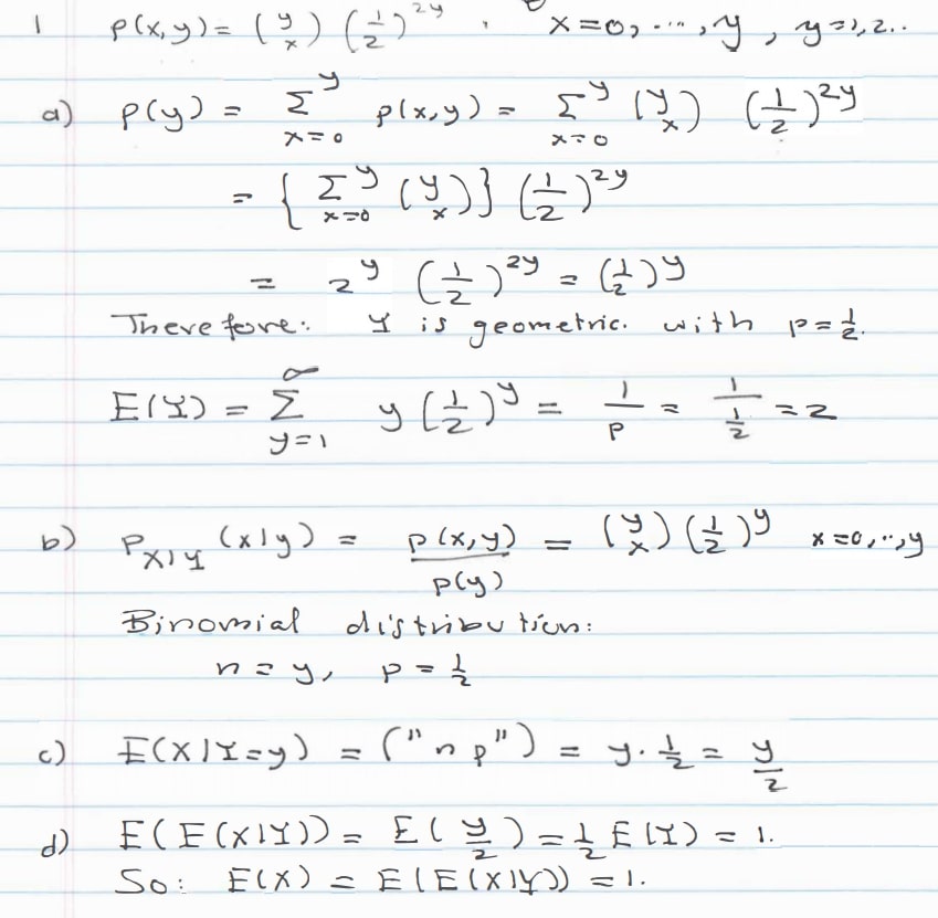
Problem 1 Let X and Y be discrete random variables with joint pdf ...
Problem 1 Let X and Y be discrete random variables with joint pdf...