Subjects
Online Tutoring
Homework Help
Homework Library
Tutors
Online Classes
More
Bookstore
Blog
Technical Tips
FAQ
Contact Us
Get Help Now
Home
Homework Library
Mathematics
Probability
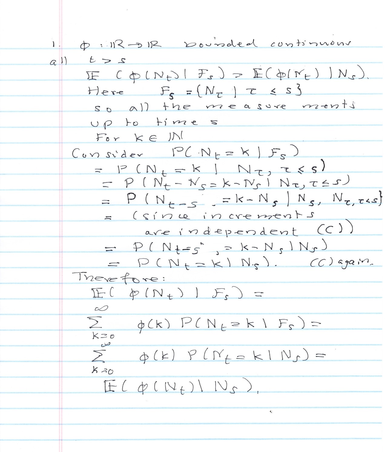
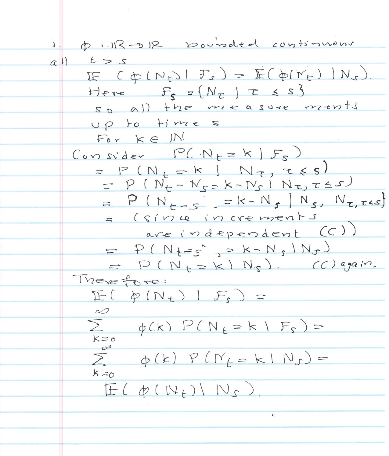
INTRODUCTION Let (S), , P) be a probability space. Let (Nt)to be a...
INTRODUCTION Let (S), , P) be a probability space. Let (Nt)to be a...