Subjects
Online Tutoring
Homework Help
Homework Library
Tutors
Online Classes
More
Bookstore
Blog
Technical Tips
FAQ
Contact Us
Get Help Now
Home
Homework Library
Mathematics
Probability
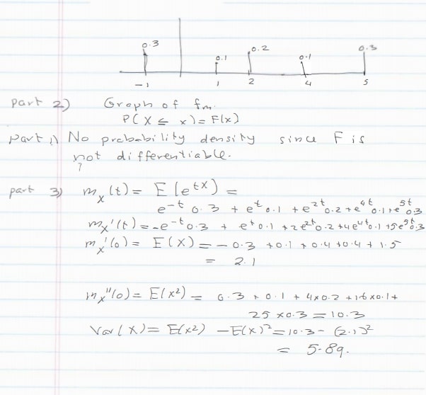
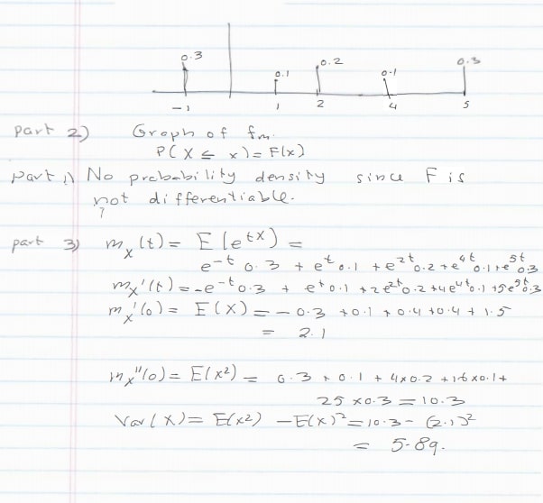
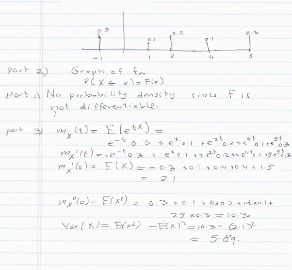
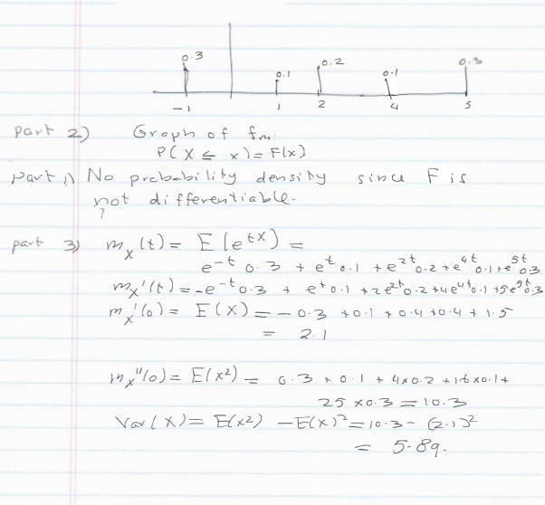
Discrete Distributions Problems ⇒ 4.1. Let X be a random va...
Discrete Distributions Problems ⇒ 4.1. Let X be a random variabl...