Subjects
Online Tutoring
Homework Help
Homework Library
Tutors
Online Classes
More
Bookstore
Blog
Technical Tips
FAQ
Contact Us
Get Help Now
Home
Homework Library
Mathematics
Probability
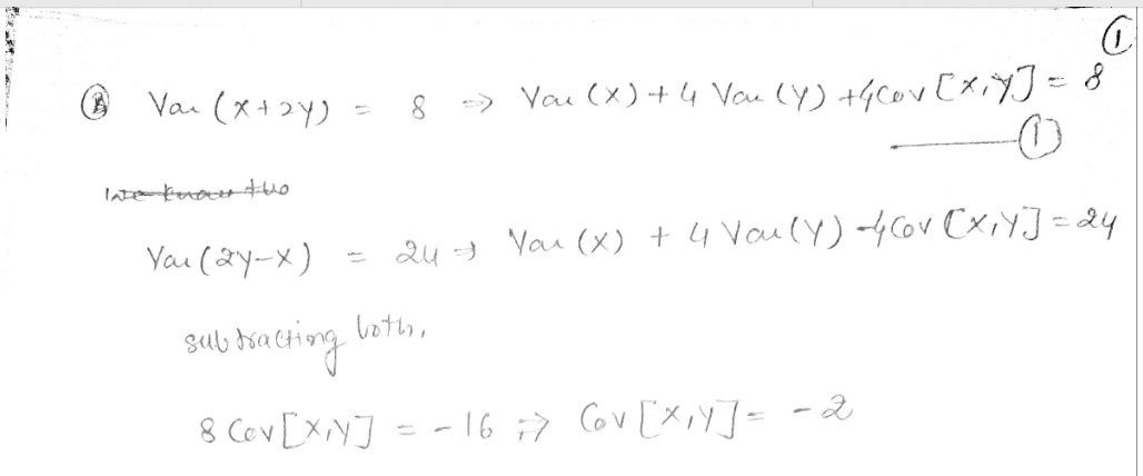
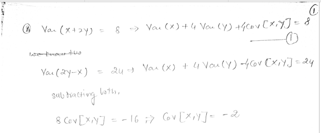
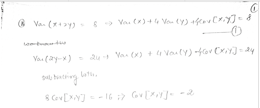
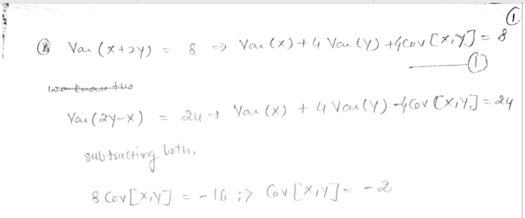
Drill 2 Var [x+2y] =8 Var[2y-x] 24 Var x ] ] = var[y]+1 A) COV...
Drill 2 Var [x+2y] =8 Var[2y-x] 24 Var x ] ] = var[y]+1 A) COV...