Subjects
Online Tutoring
Homework Help
Homework Library
Tutors
Online Classes
More
Bookstore
Blog
Technical Tips
FAQ
Contact Us
Get Help Now
Home
Homework Library
Mathematics
Probability
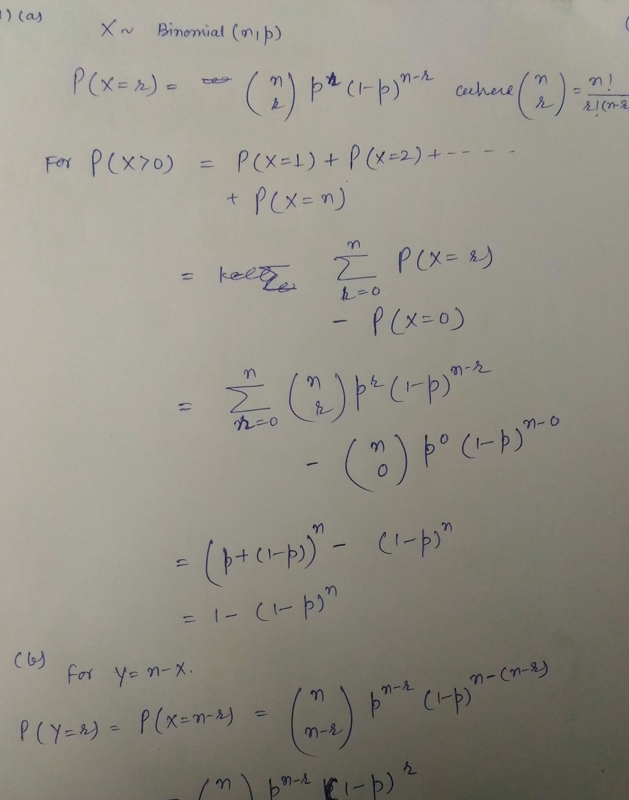
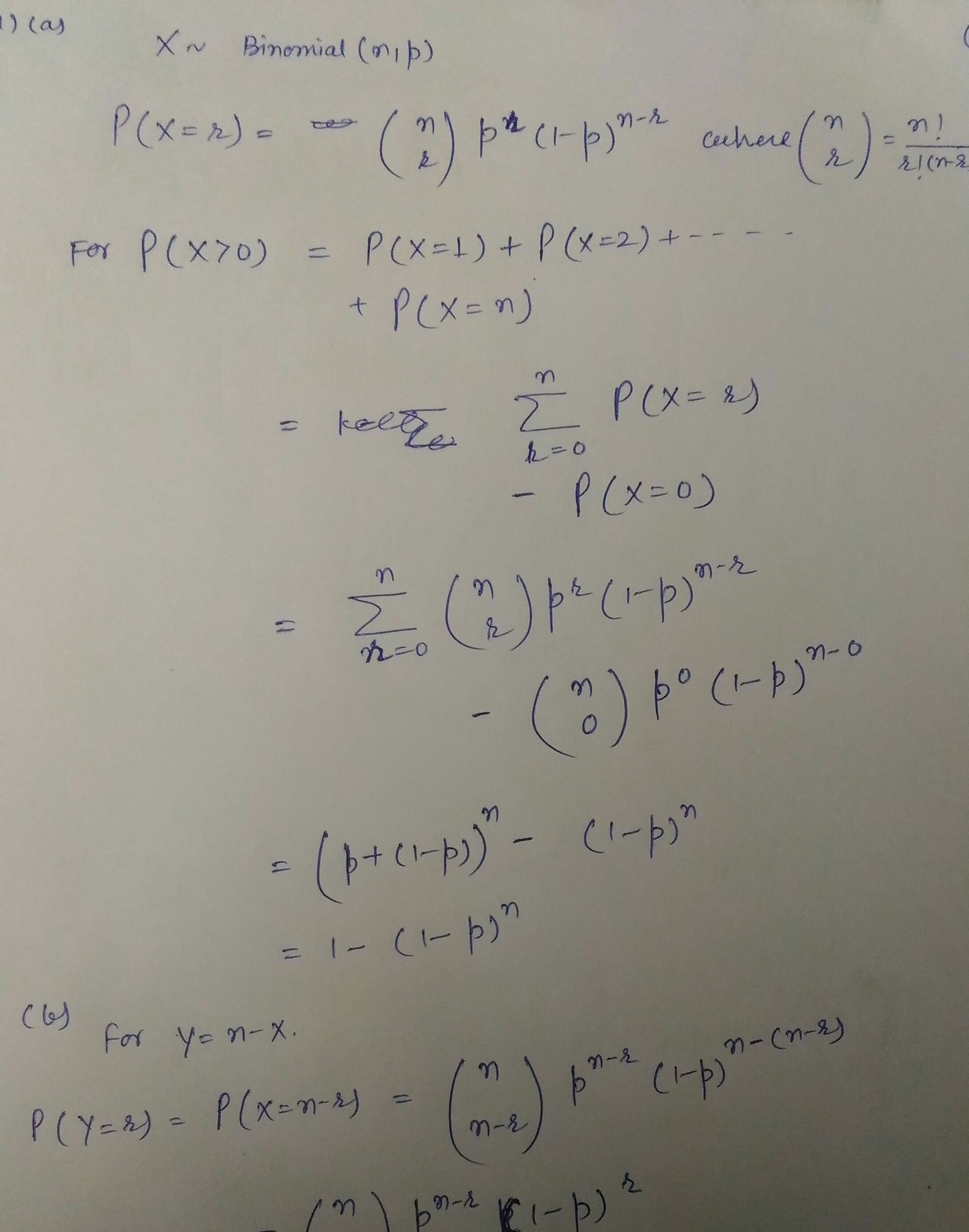
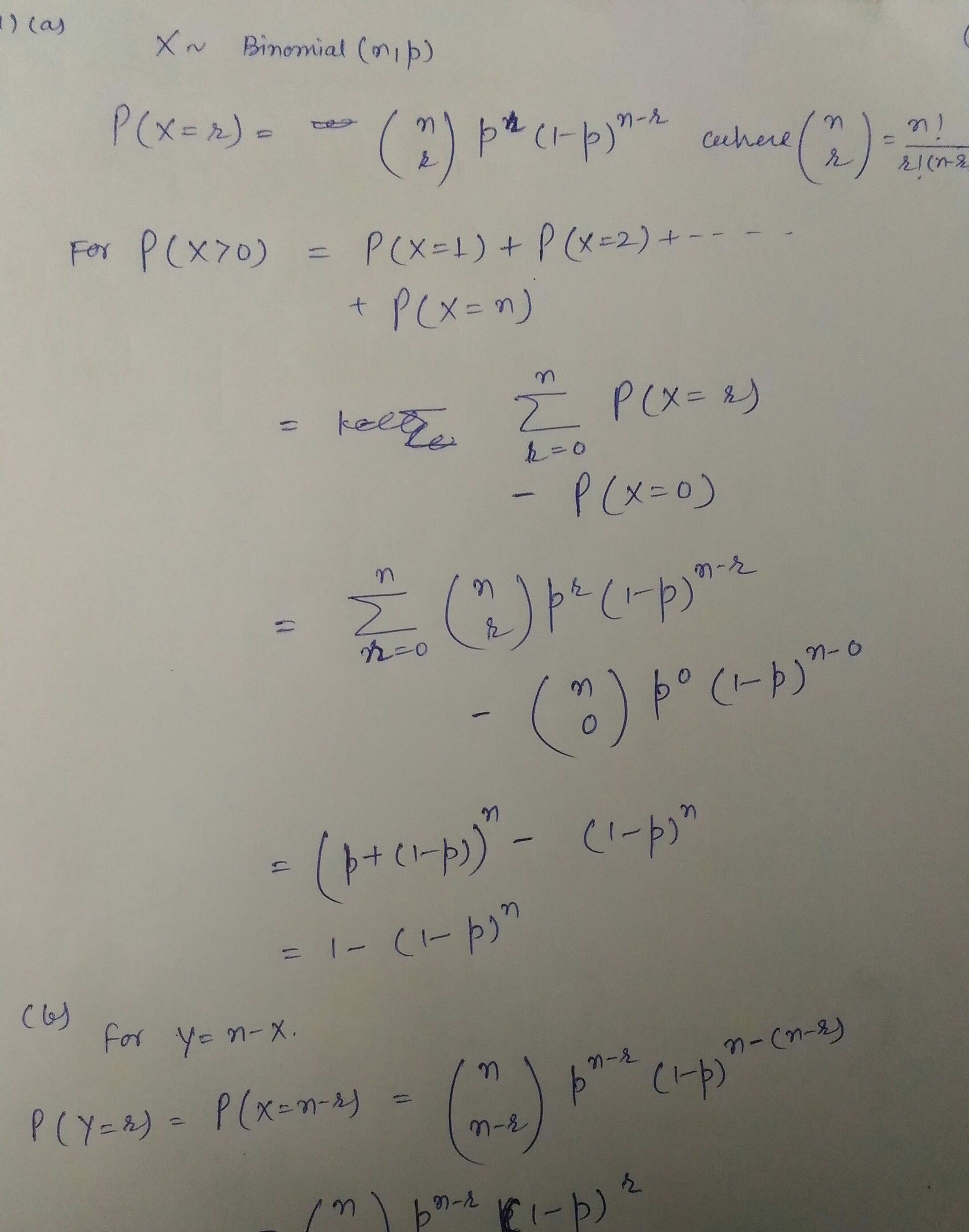
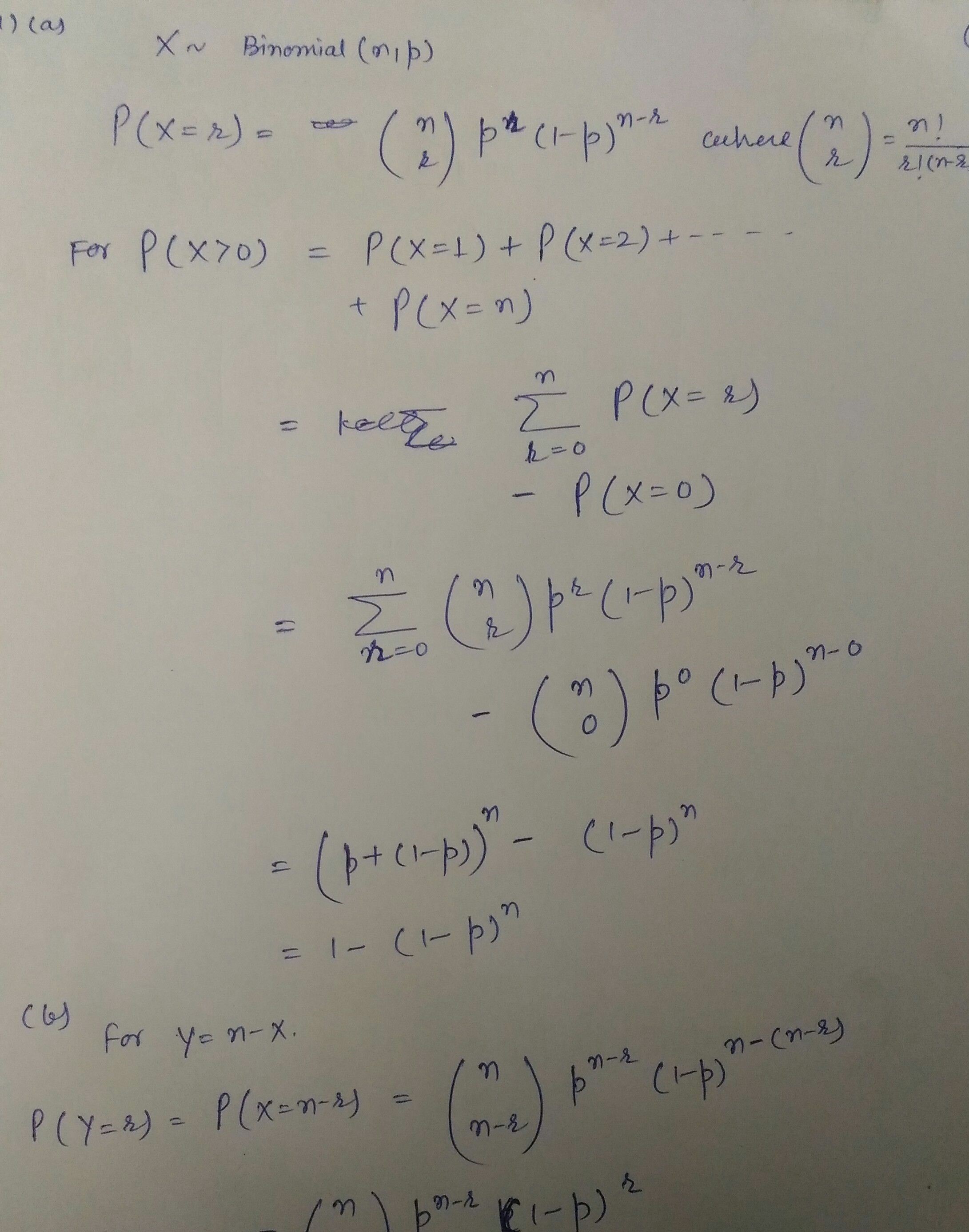
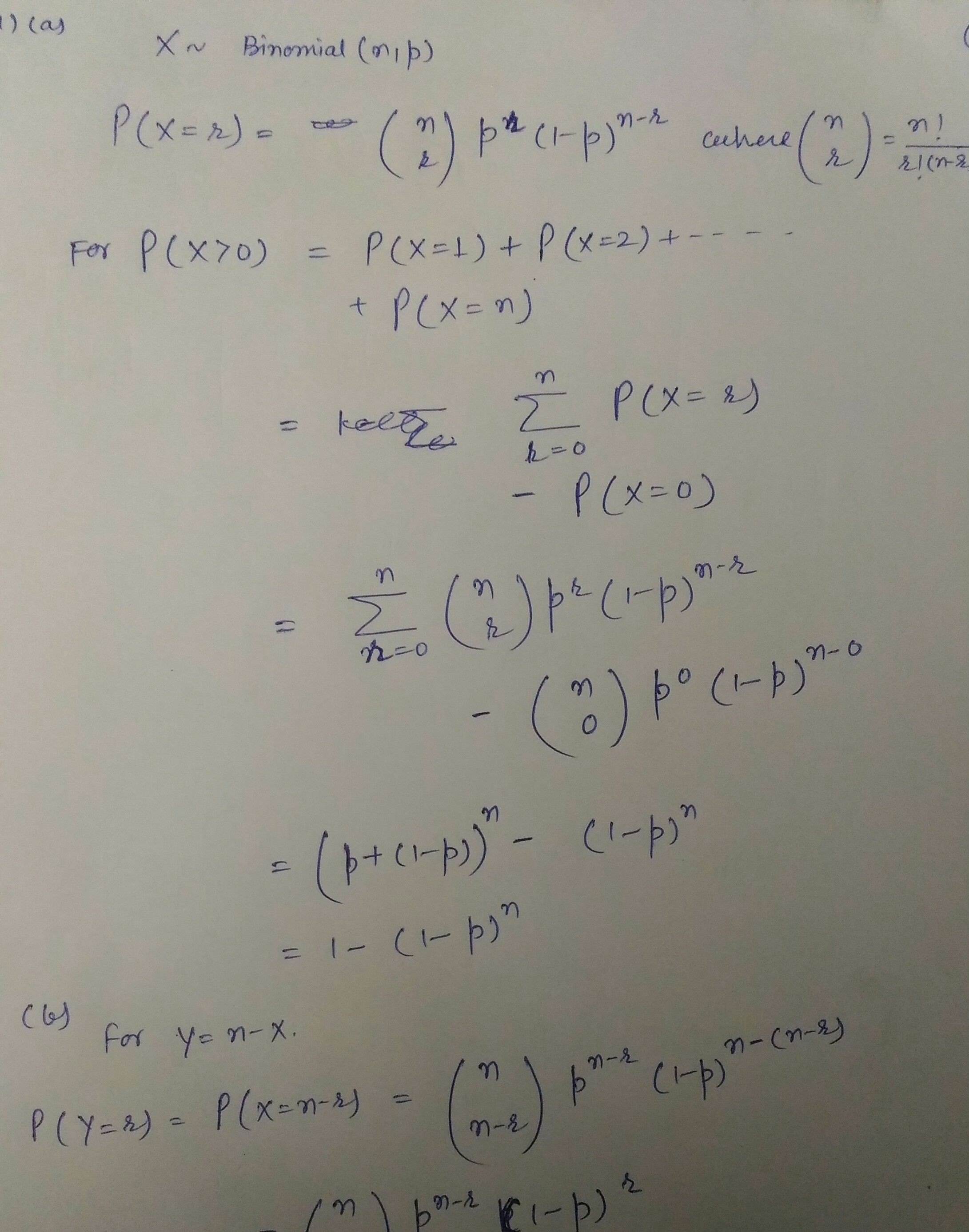
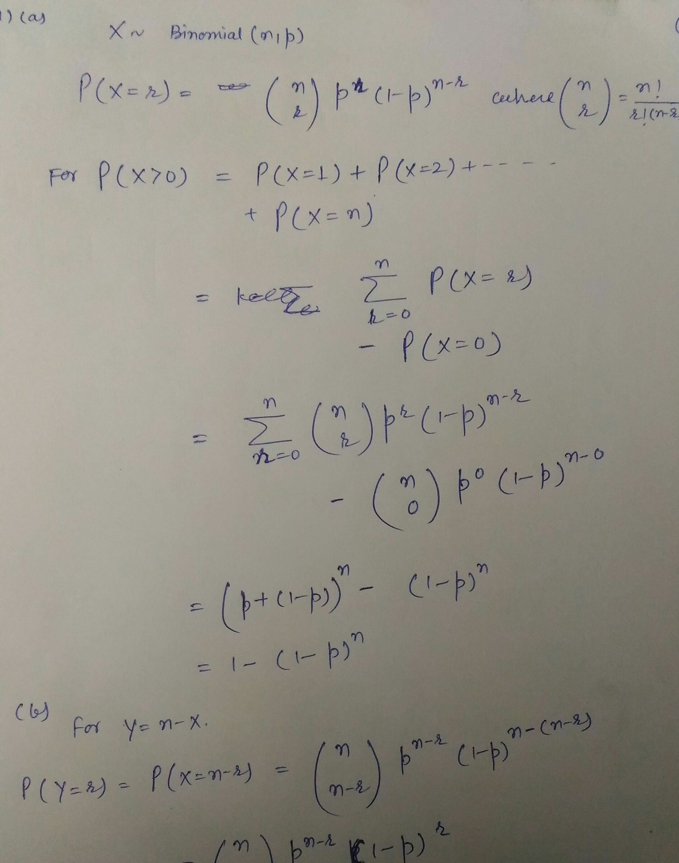
1. Assume X is Binomial(n,p), where the constant p € (0,1) an...
1. Assume X is Binomial(n,p), where the constant p € (0,1) and th...