Subjects
Online Tutoring
Homework Help
Homework Library
Tutors
Online Classes
More
Bookstore
Blog
Technical Tips
FAQ
Contact Us
Get Help Now
Home
Homework Library
Mathematics
Probability
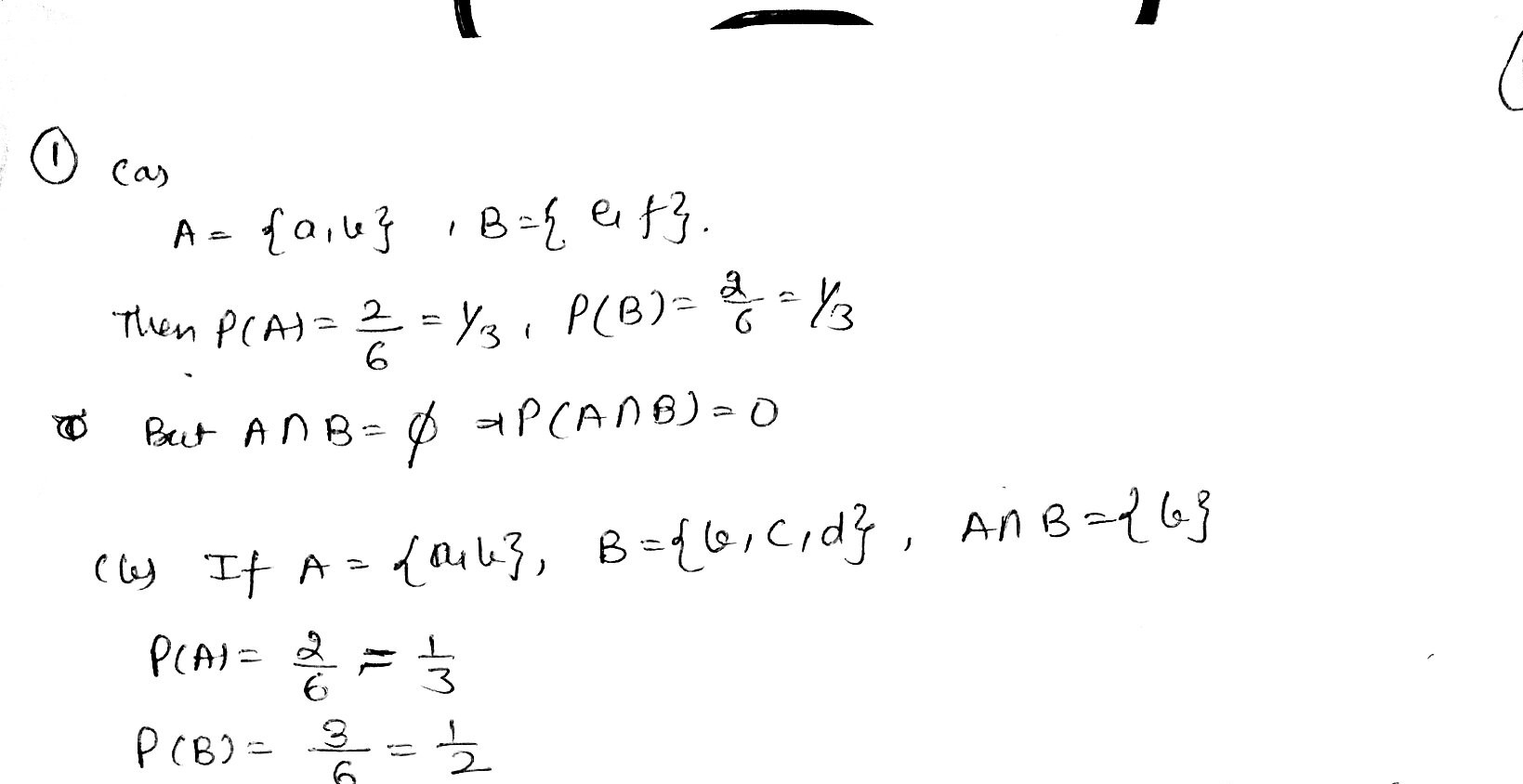
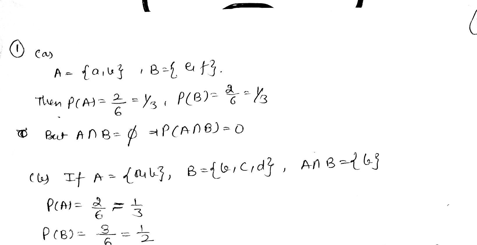
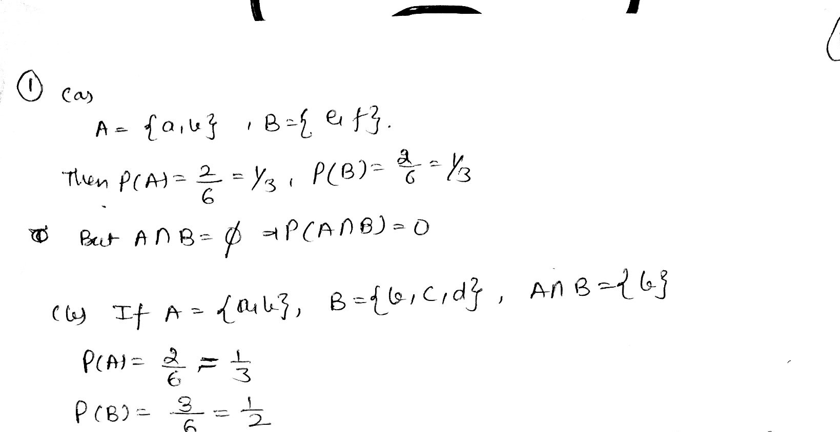
Assignment 2 1 Let S = Sa, b, C, d,e, f} Two events are said to b...
Assignment 2 1 Let S = Sa, b, C, d,e, f} Two events are said to b...