Subjects
Online Tutoring
Homework Help
Homework Library
Tutors
Online Classes
More
Bookstore
Blog
Technical Tips
FAQ
Contact Us
Get Help Now
Home
Homework Library
Mathematics
Probability
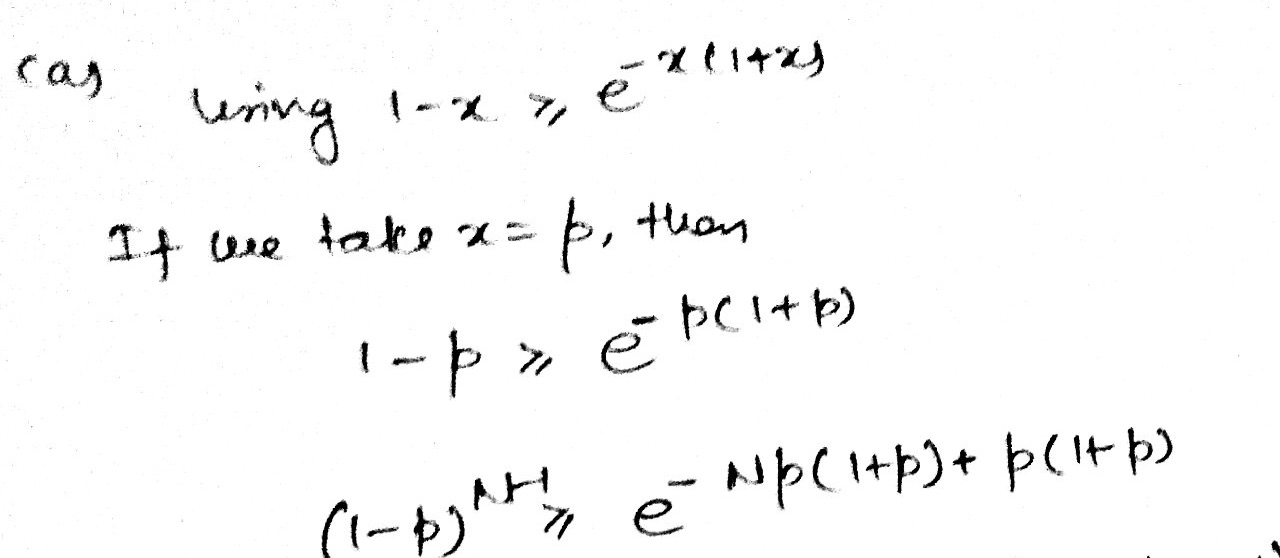
3 Problem 3. We study the regime when Erdós-Rényi graphs are...
3 Problem 3. We study the regime when Erdós-Rényi graphs are lik...