Subjects
Online Tutoring
Homework Help
Homework Library
Tutors
Online Classes
More
Bookstore
Blog
Technical Tips
FAQ
Contact Us
Get Help Now
Home
Homework Library
Mathematics
Probability
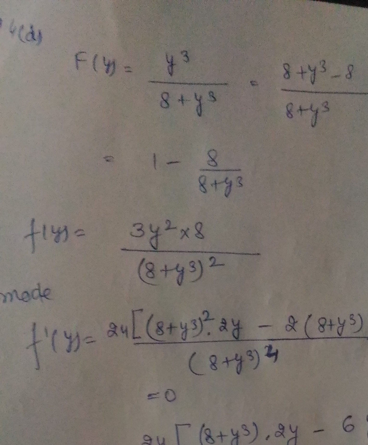
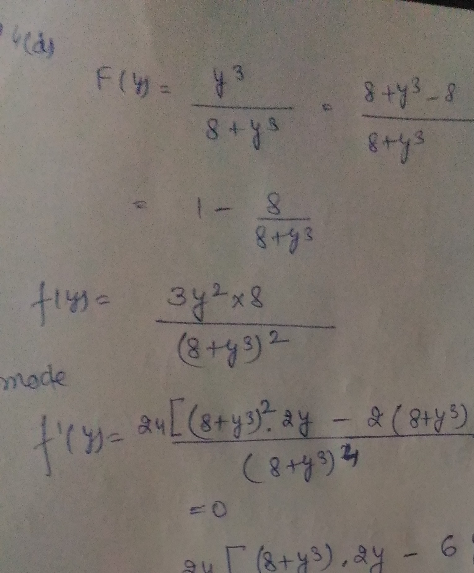
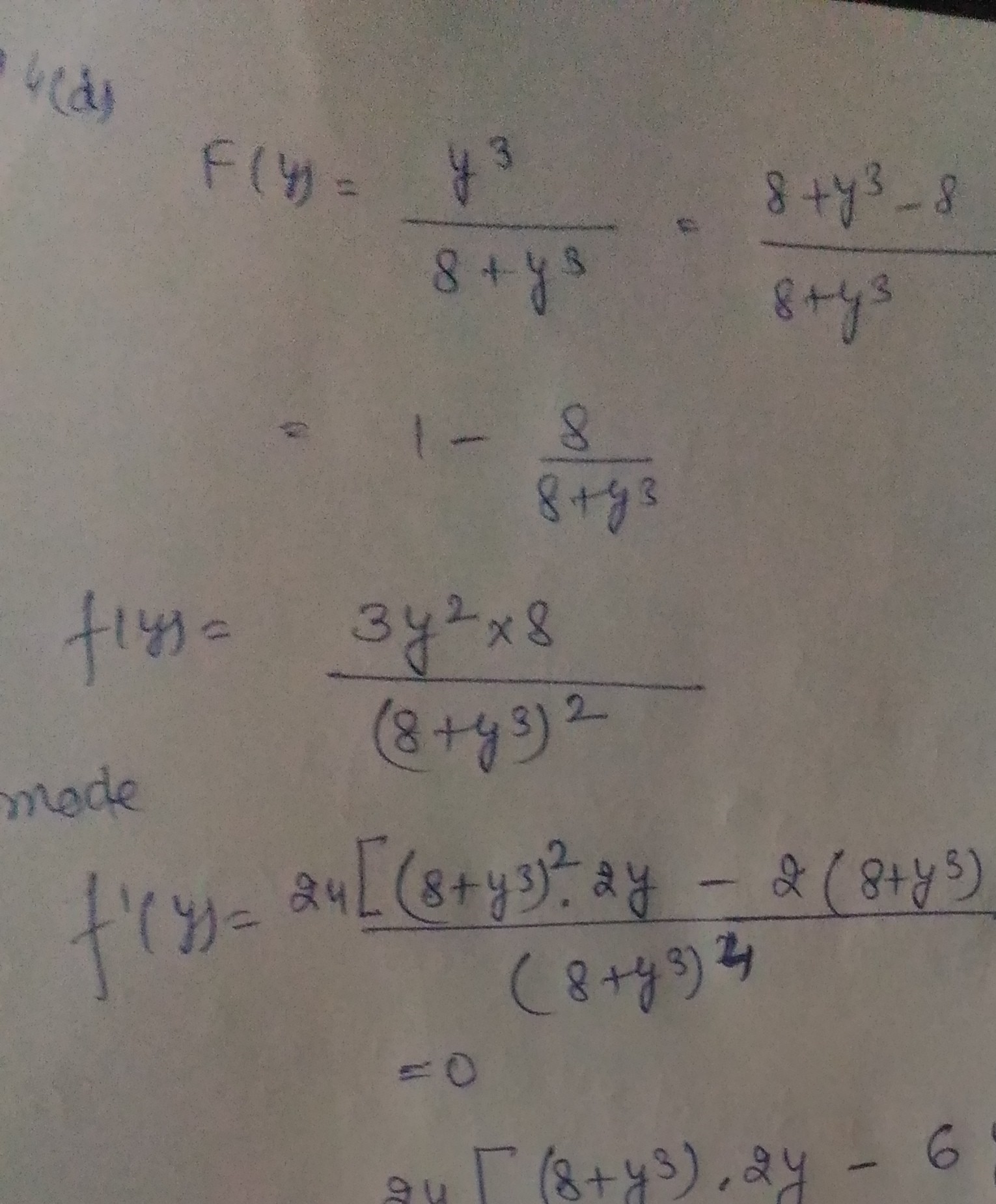
Question 4 (13 marks) Consider a random variable Y with cumulative...
Question 4 (13 marks) Consider a random variable Y with cumulative...