Subjects
Online Tutoring
Homework Help
Homework Library
Tutors
Online Classes
More
Bookstore
Blog
Technical Tips
FAQ
Contact Us
Get Help Now
Home
Homework Library
Mathematics
Probability
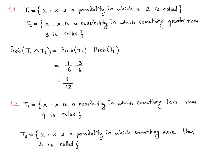
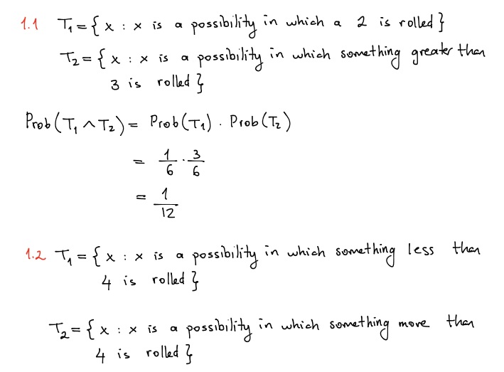
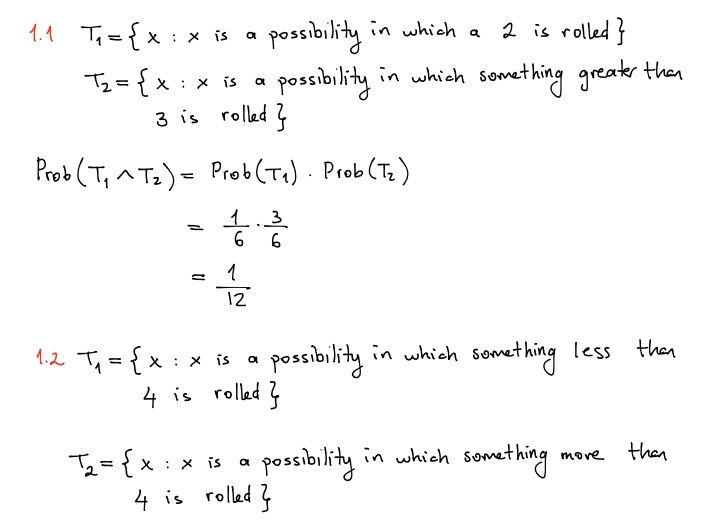
Part I A fair 6-sided dice is rolled twice. The tairness of the di...
Part I A fair 6-sided dice is rolled twice. The tairness of the di...