Subjects
Online Tutoring
Homework Help
Homework Library
Tutors
Online Classes
More
Bookstore
Blog
Technical Tips
FAQ
Contact Us
Get Help Now
Home
Homework Library
Mathematics
Probability
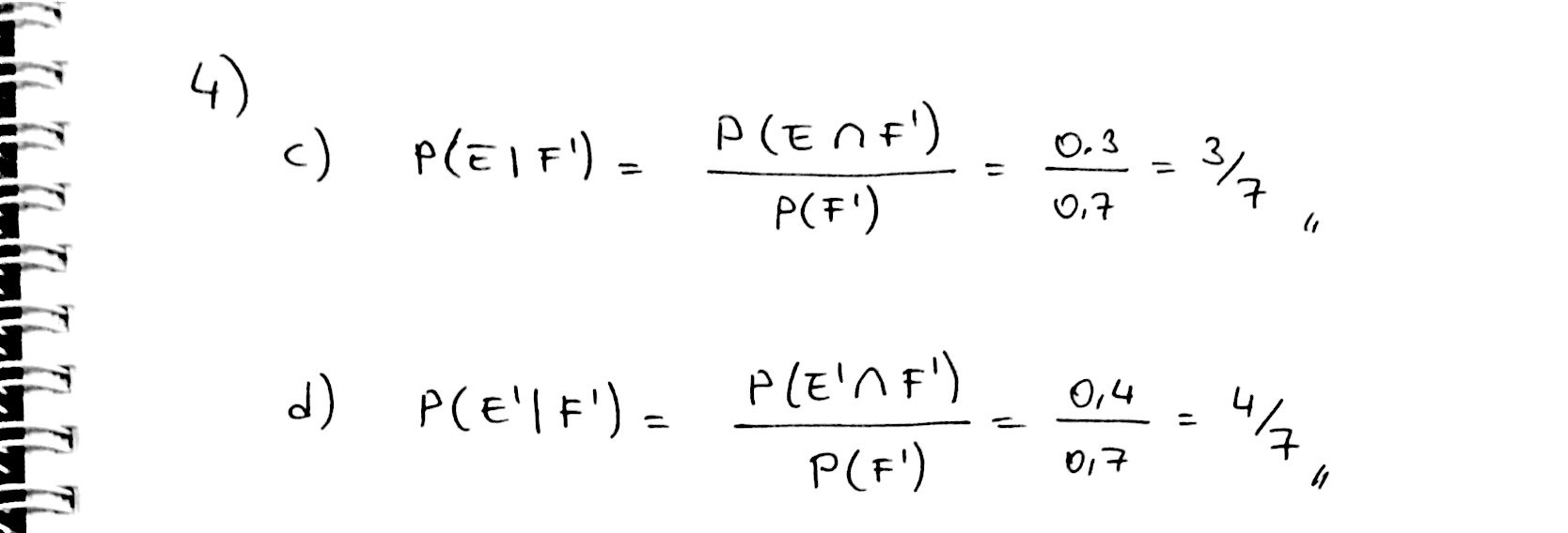
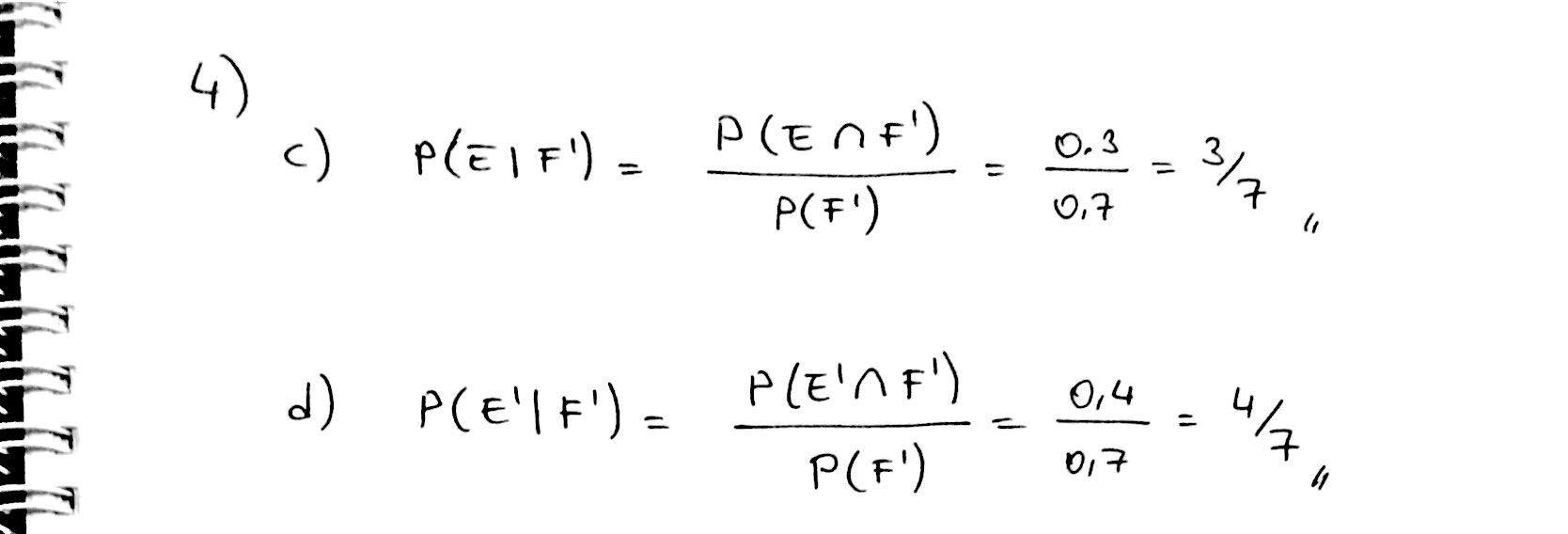
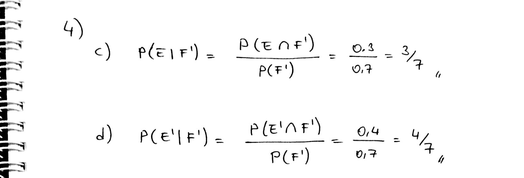
4. Let S be a sample space and E and F be events associ- ated wit...
4. Let S be a sample space and E and F be events associ- ated wit...