Subjects
Online Tutoring
Homework Help
Homework Library
Tutors
Online Classes
More
Bookstore
Blog
Technical Tips
FAQ
Contact Us
Get Help Now
Home
Homework Library
Mathematics
Probability
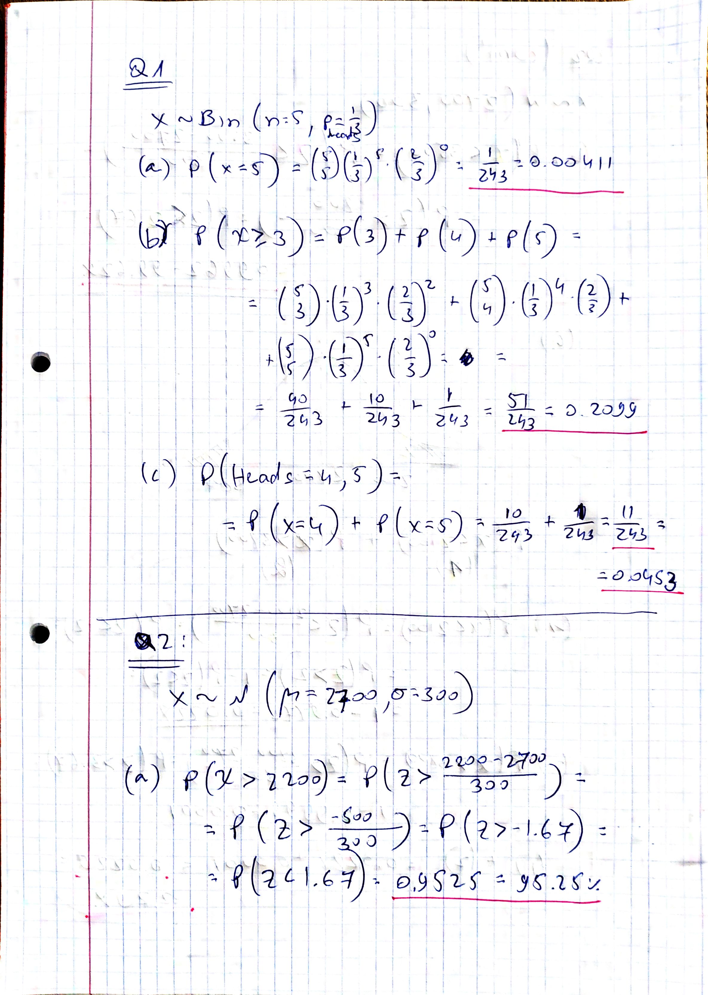
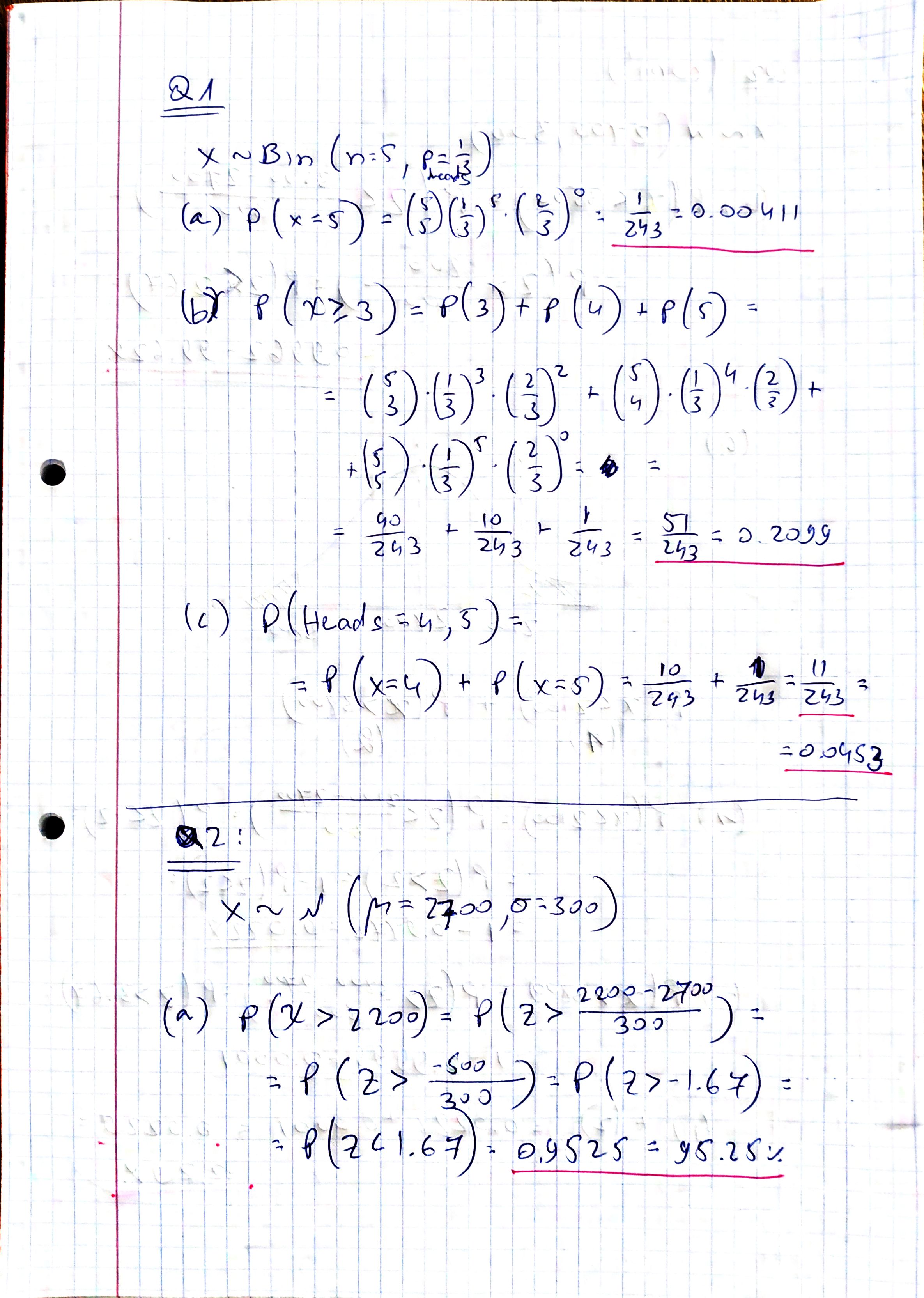
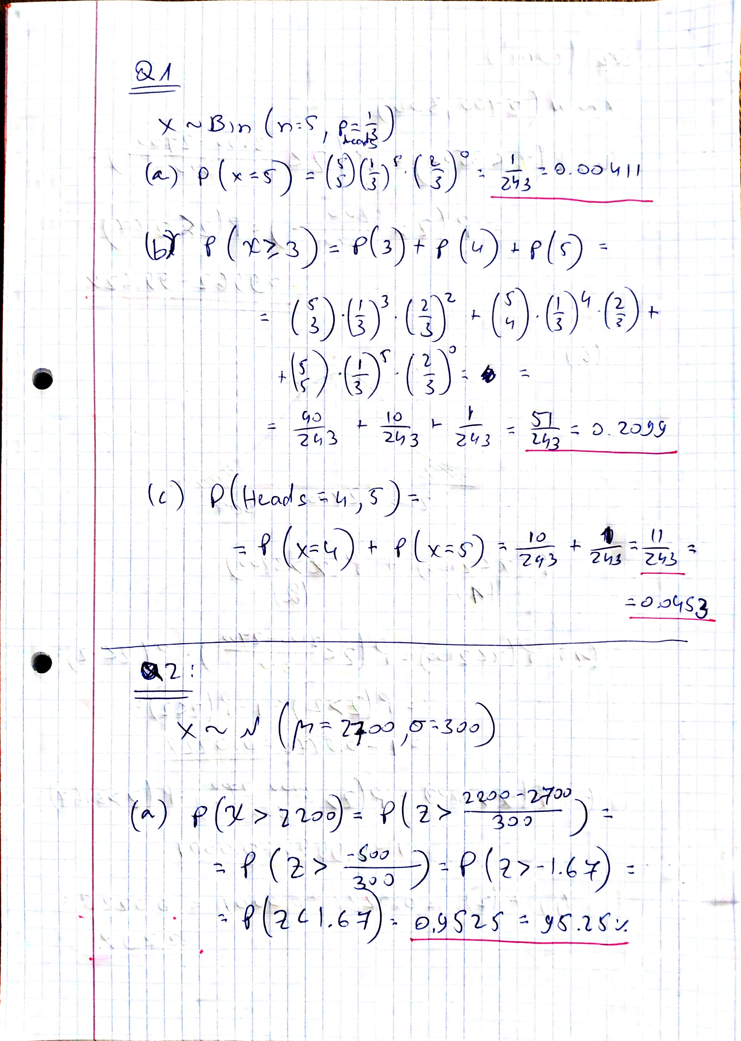
1) A biased coin is flipped 5 times. If the probability is 1/3 that...
1) A biased coin is flipped 5 times. If the probability is 1/3 that...