Subjects
Online Tutoring
Homework Help
Homework Library
Tutors
Online Classes
More
Bookstore
Blog
Technical Tips
FAQ
Contact Us
Get Help Now
Home
Homework Library
Mathematics
Probability
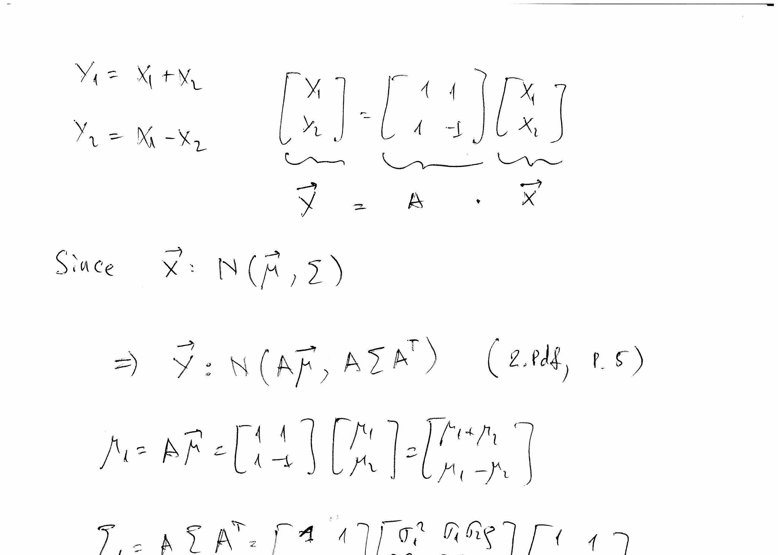
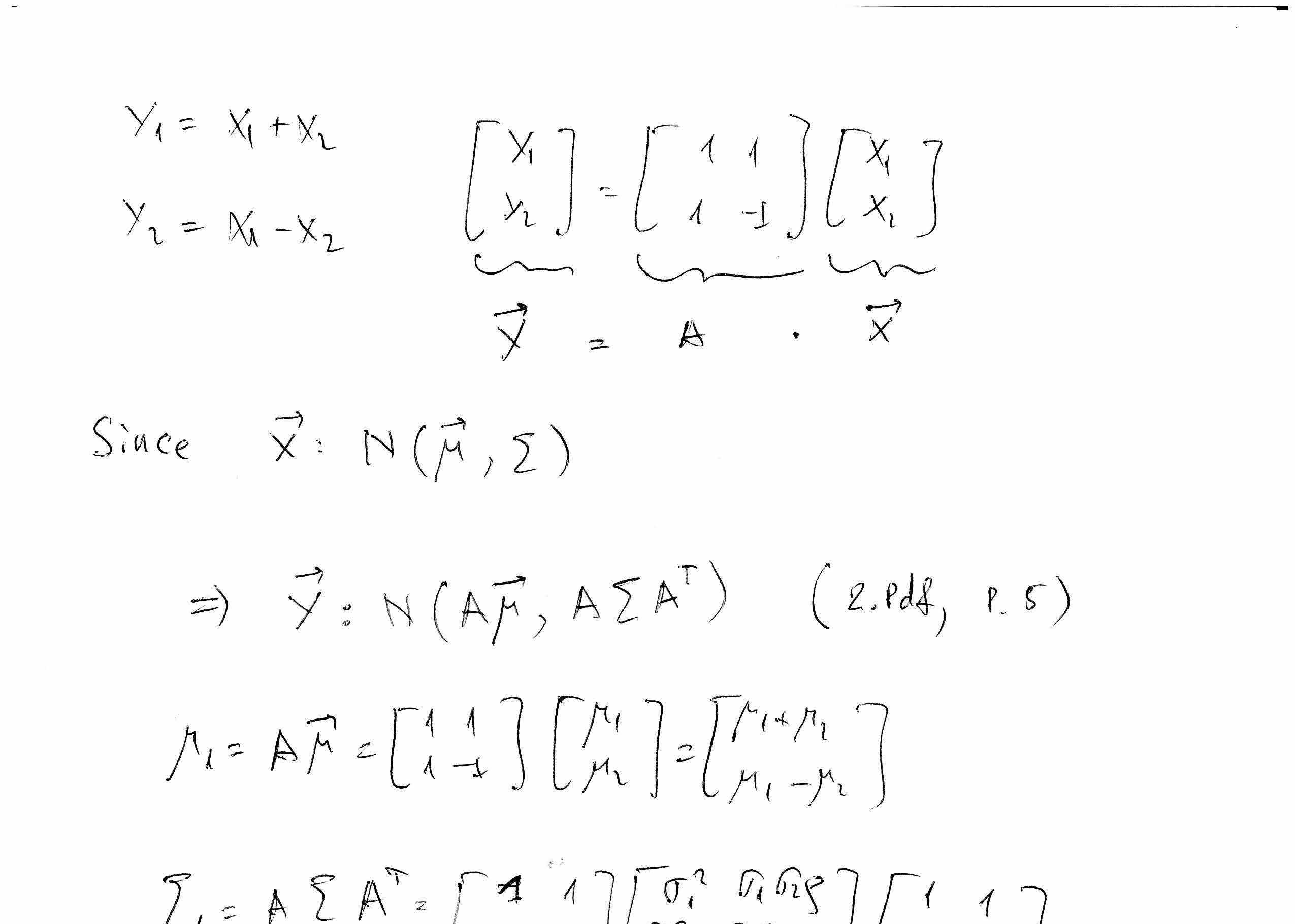
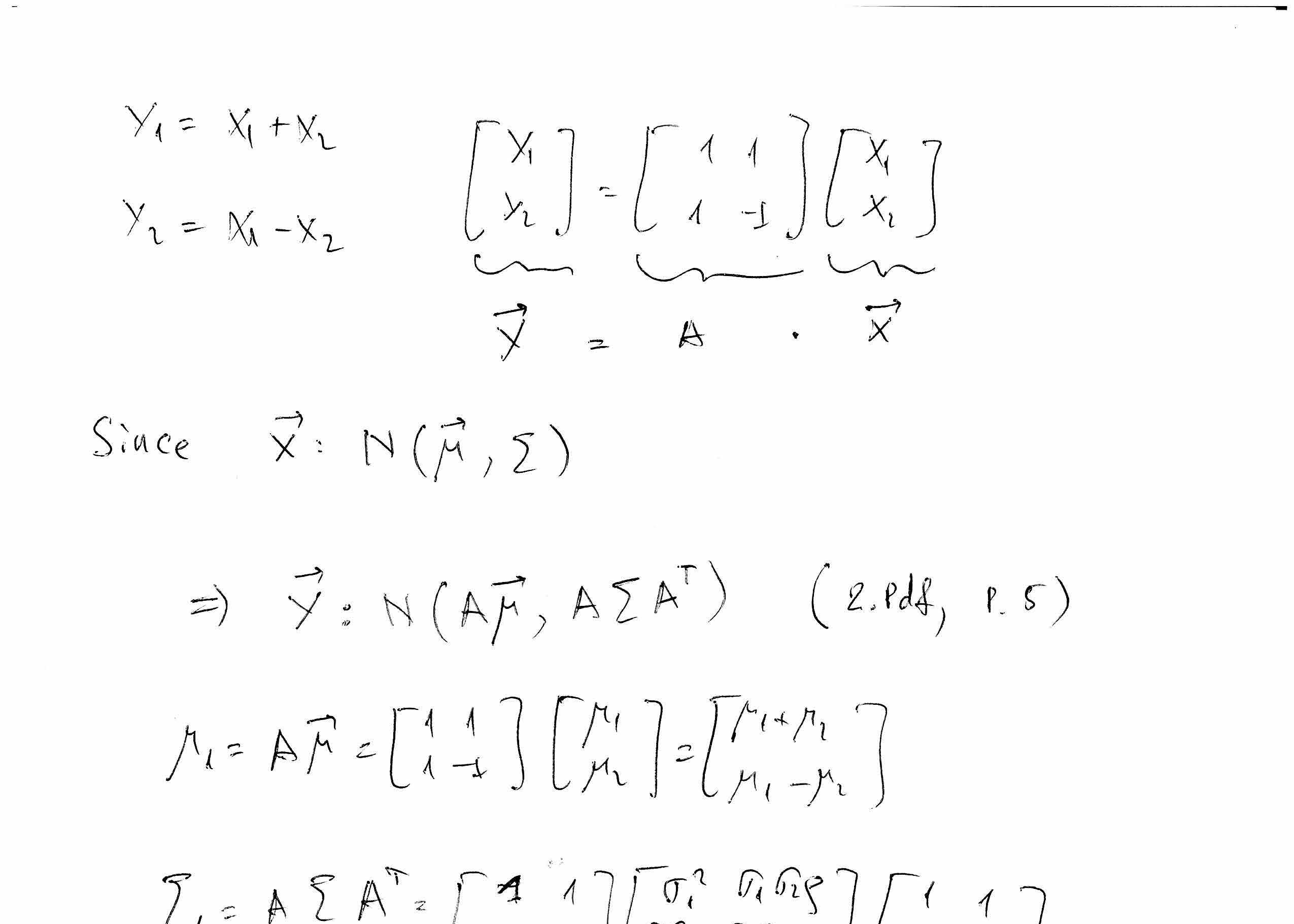
Let X = [X1,X2]ᵀ € R² be a random vector with the Ga...
Let X = [X1,X2]ᵀ € R² be a random vector with the Gaussian dis...