Subjects
Online Tutoring
Homework Help
Homework Library
Tutors
Online Classes
More
Bookstore
Blog
Technical Tips
FAQ
Contact Us
Get Help Now
Home
Homework Library
Mathematics
Probability
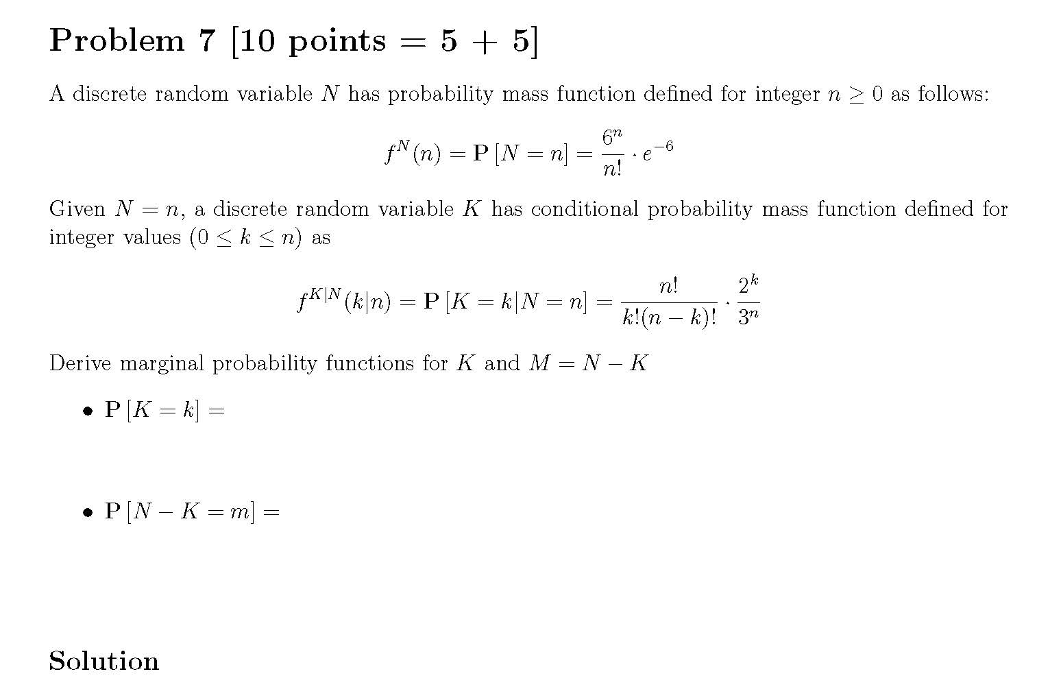
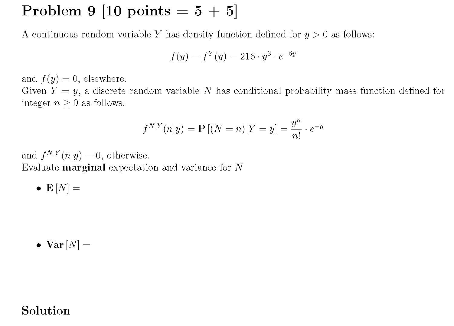
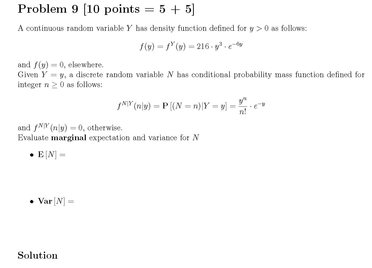
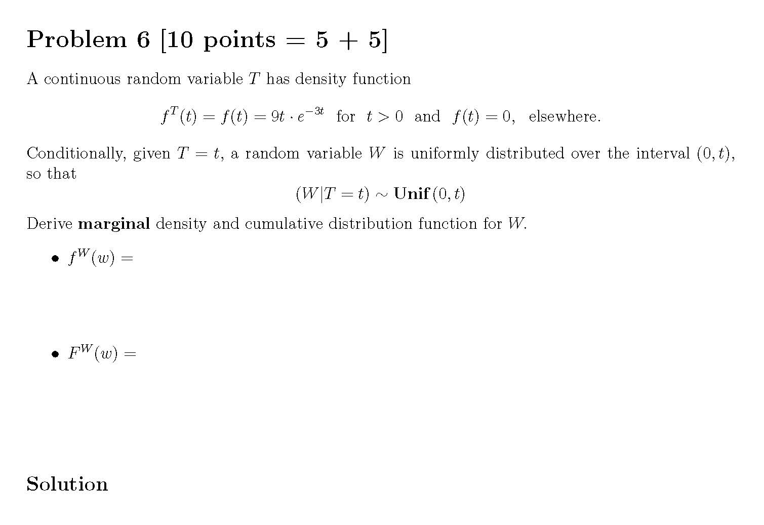
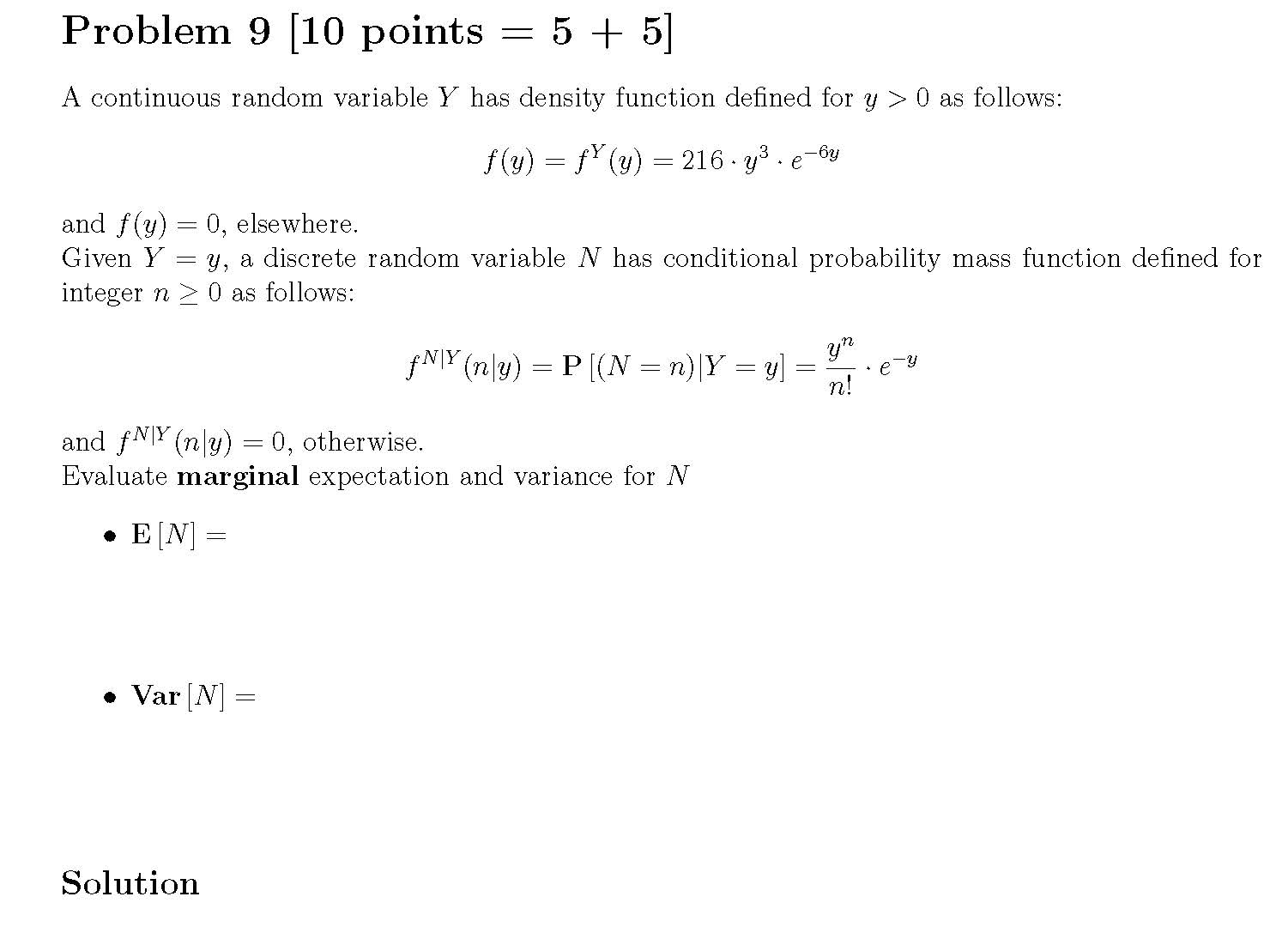
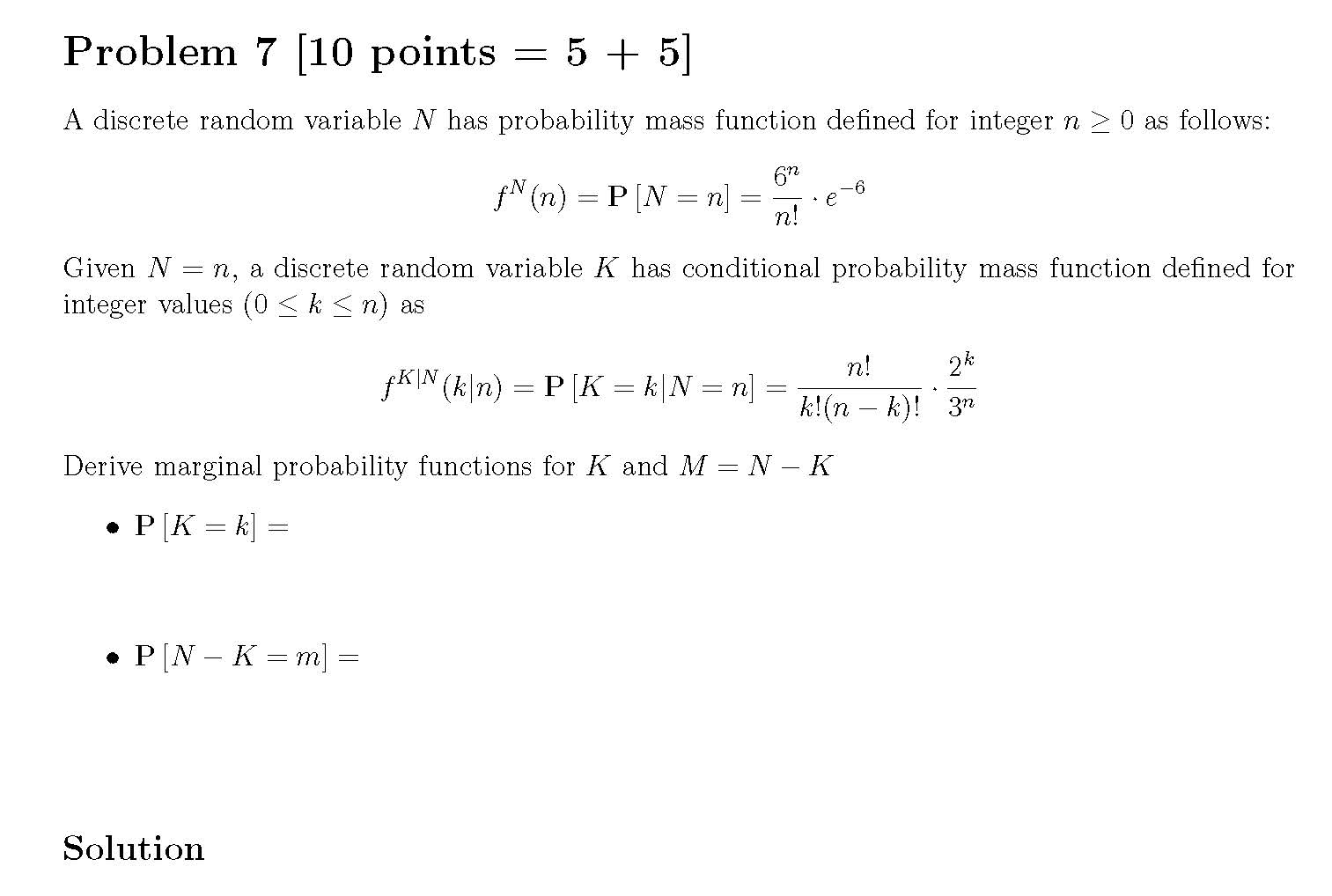
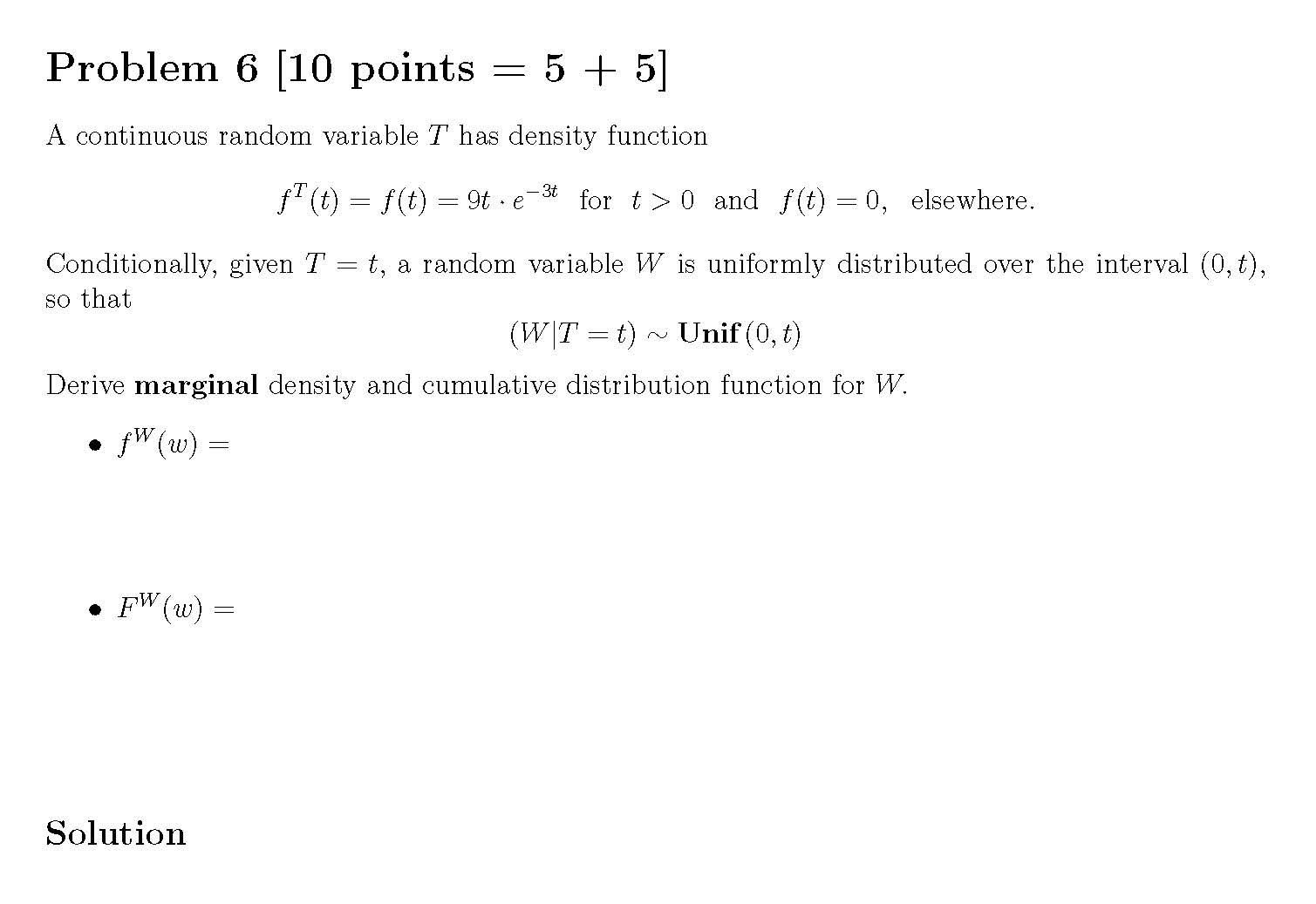
Helpful Formulas ˆ Gamma-function is dened for any a > 0 as...
Helpful Formulas ˆ Gamma-function is dened for any a > 0 as f...