Subjects
Online Tutoring
Homework Help
Homework Library
Tutors
Online Classes
More
Bookstore
Blog
Technical Tips
FAQ
Contact Us
Get Help Now
Home
Homework Library
Mathematics
Real Analysis
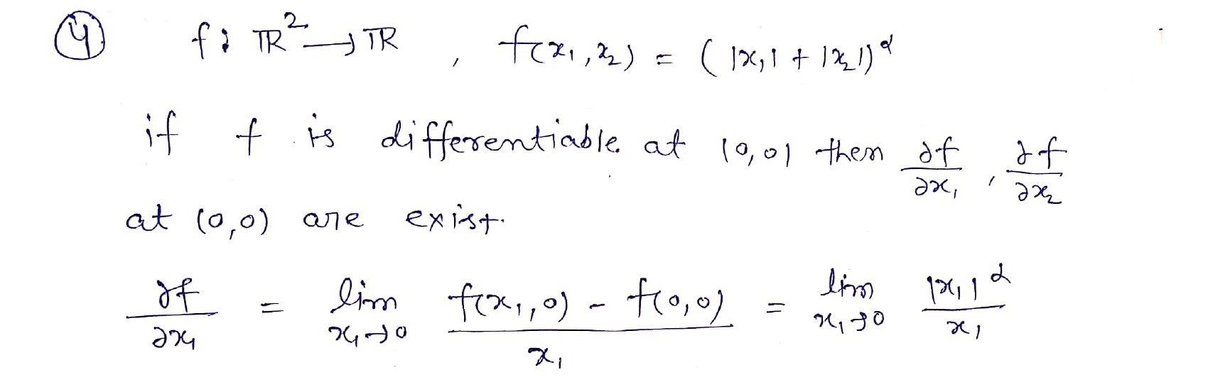
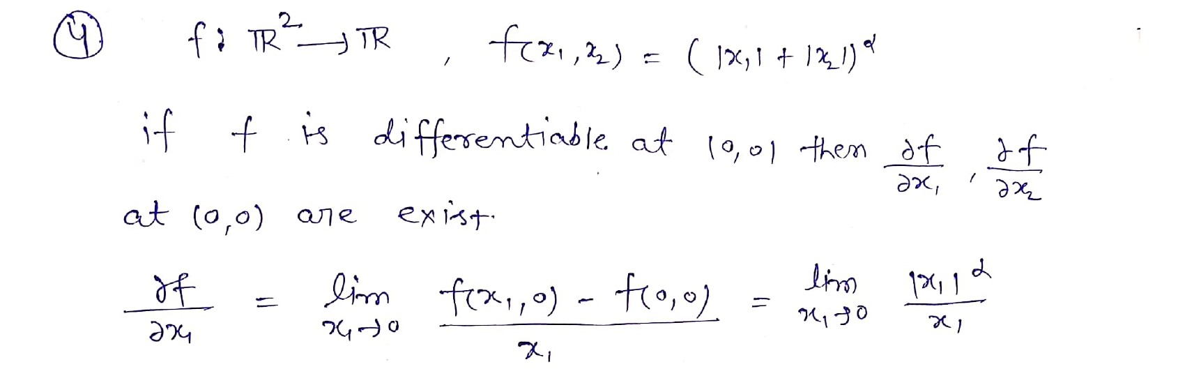
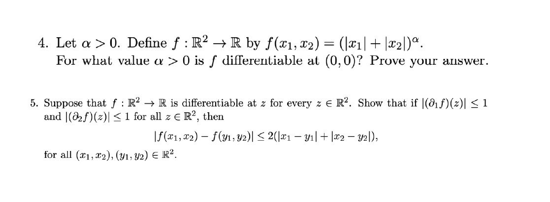
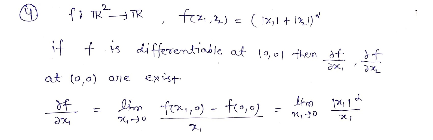
4. Let a >0. Define f :R2 R by f(x1,x2)=(x1x2)a. = For what va...
4. Let a >0. Define f :R2 R by f(x1,x2)=(x1x2)a. = For what va...