Subjects
Online Tutoring
Homework Help
Homework Library
Tutors
Online Classes
More
Bookstore
Blog
Technical Tips
FAQ
Contact Us
Get Help Now
Home
Homework Library
Mathematics
Real Analysis
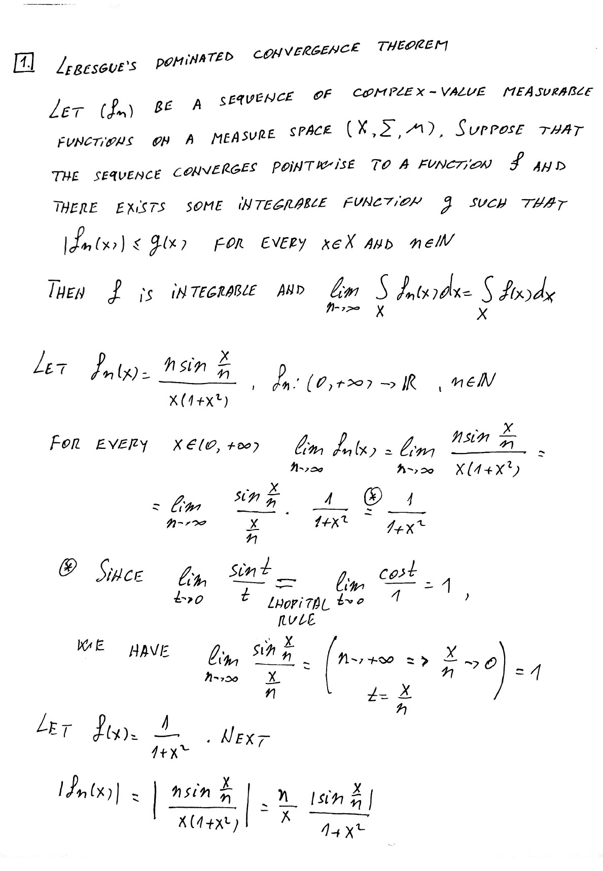
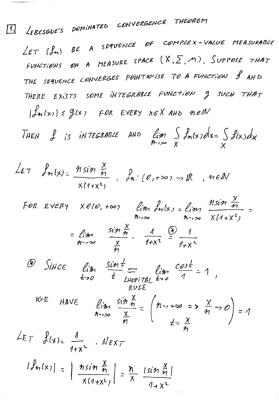
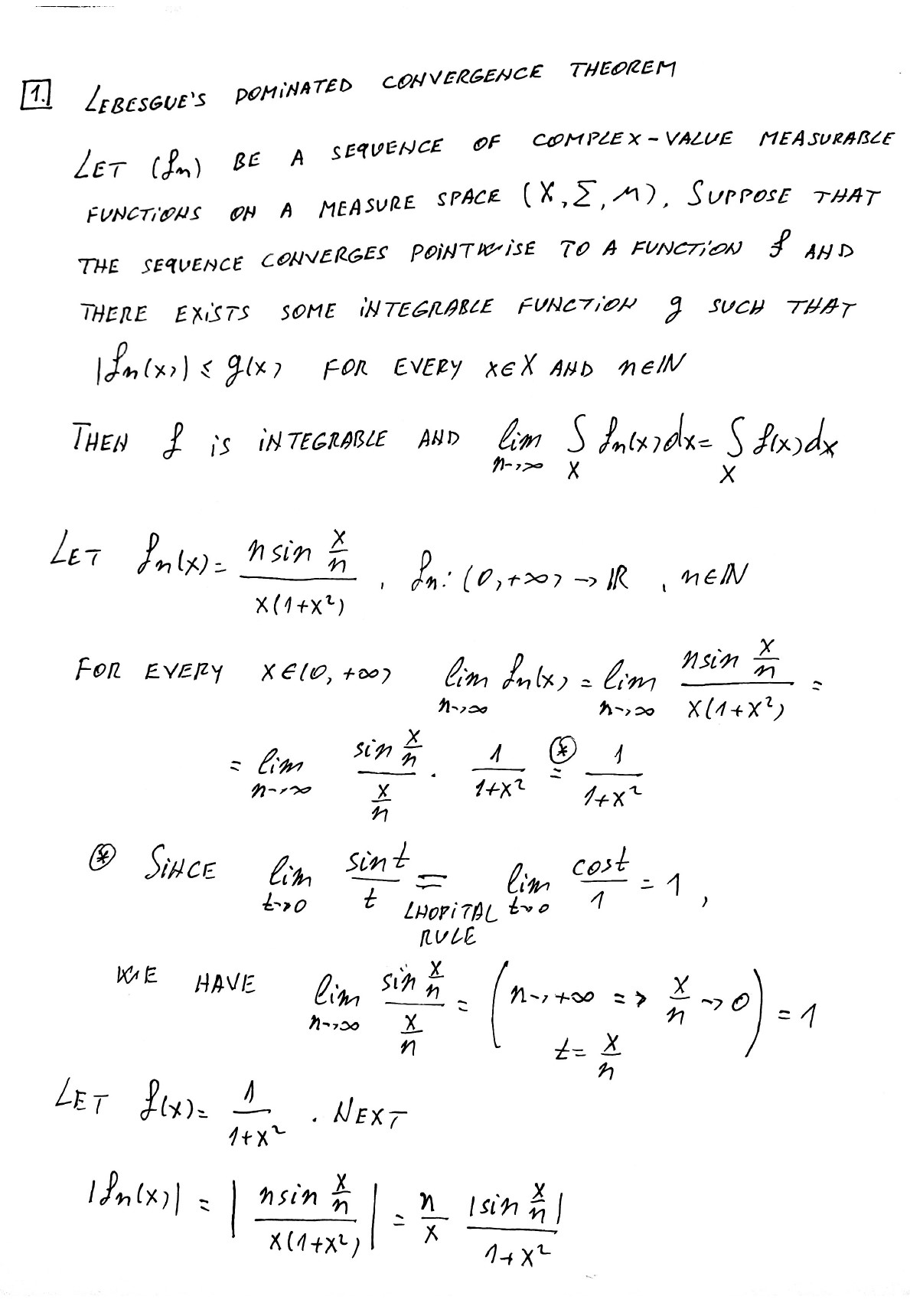
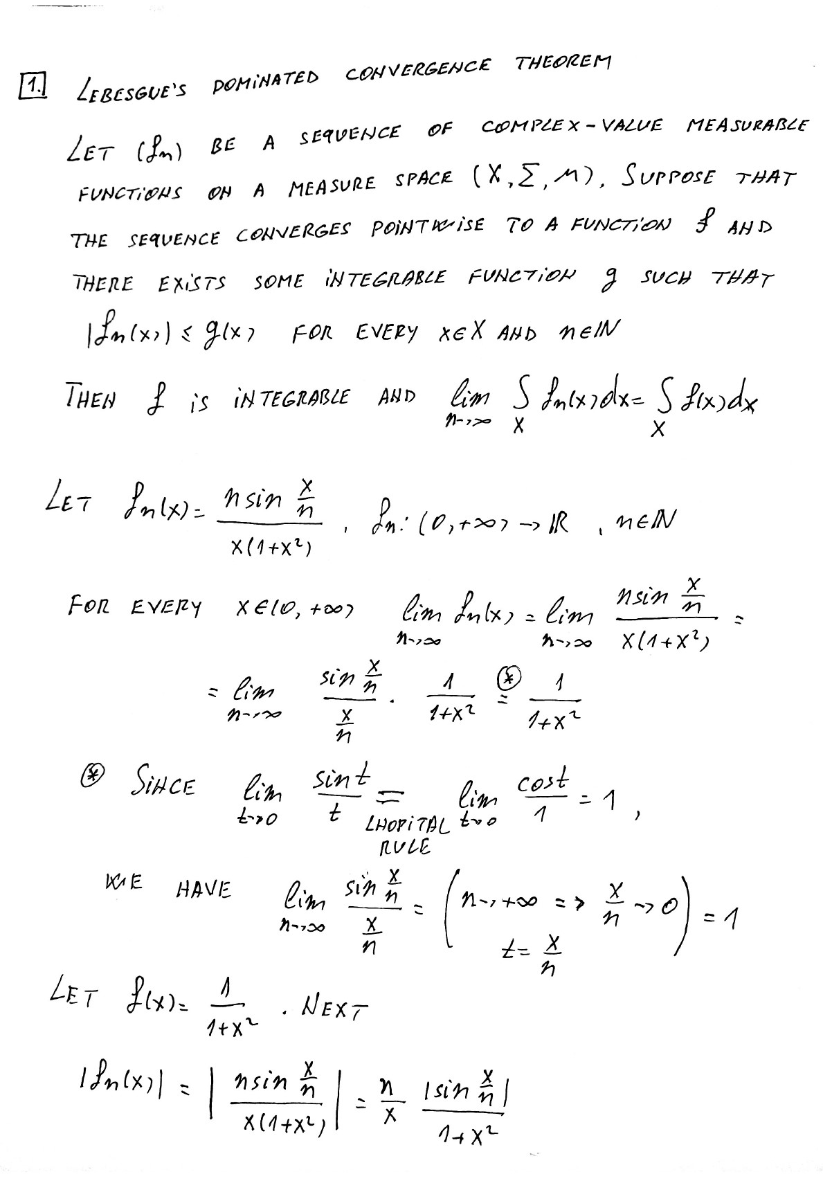
1 show that Following Limit exists , evalute the Limite, justif y...
1 show that Following Limit exists , evalute the Limite, justif y...