Subjects
Online Tutoring
Homework Help
Homework Library
Tutors
Online Classes
More
Bookstore
Blog
Technical Tips
FAQ
Contact Us
Get Help Now
Home
Homework Library
Mathematics
Real Analysis
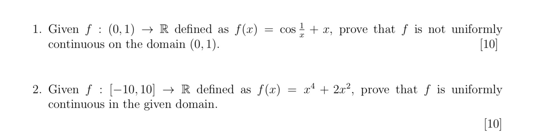
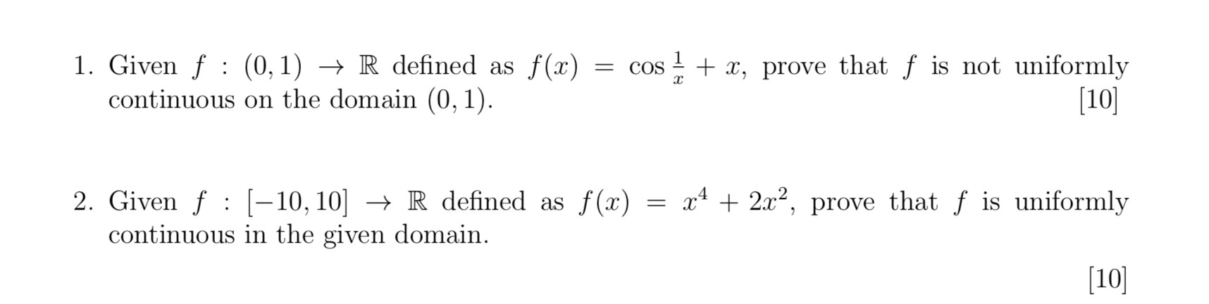
1. Given f : (0,1) R defined as f(x) = COS + prove that f is not u...
1. Given f : (0,1) R defined as f(x) = COS + prove that f is not u...