Subjects
Online Tutoring
Homework Help
Homework Library
Tutors
Online Classes
More
Bookstore
Blog
Technical Tips
FAQ
Contact Us
Get Help Now
Home
Homework Library
Mathematics
Real Analysis
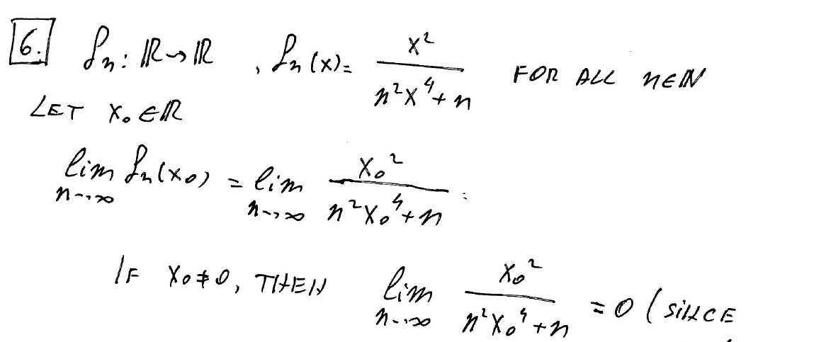
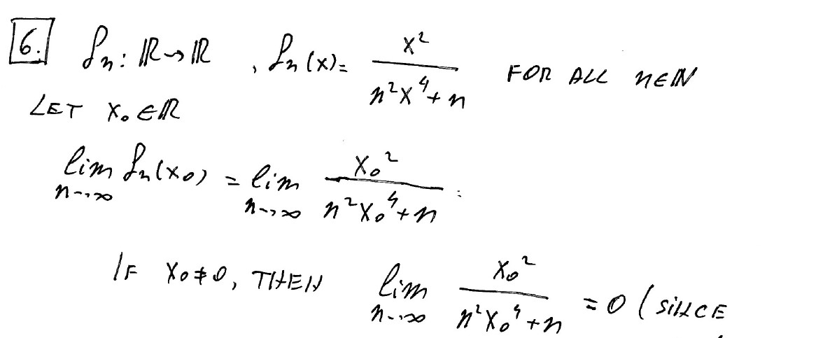
6. Given fn : R R defined by fn(x) = for all n e N, does the fun...
6. Given fn : R R defined by fn(x) = for all n e N, does the fun...