Subjects
Online Tutoring
Homework Help
Homework Library
Tutors
More
Bookstore
Blog
Technical Tips
FAQ
Contact Us
Get Help Now
Home
Homework Library
Mathematics
Real Analysis
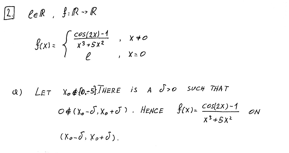
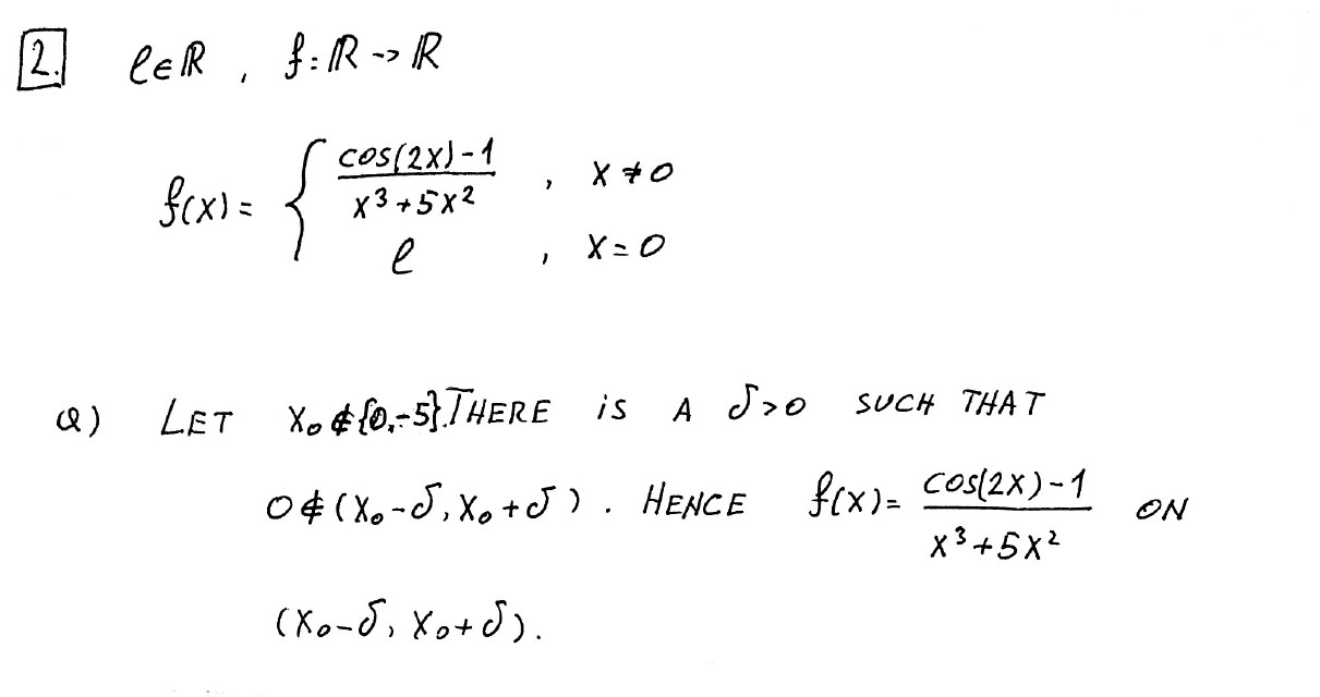
Let ( E R and f R -> R be the function defined by cos(2x)-1 f(...
Let ( E R and f R -> R be the function defined by cos(2x)-1 f(...