Subjects
Online Tutoring
Homework Help
Homework Library
Tutors
Online Classes
More
Bookstore
Blog
Technical Tips
FAQ
Contact Us
Get Help Now
Home
Homework Library
Mathematics
Real Analysis
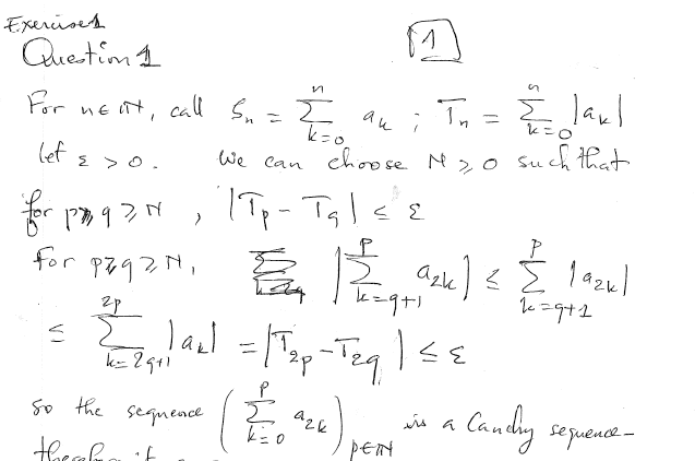
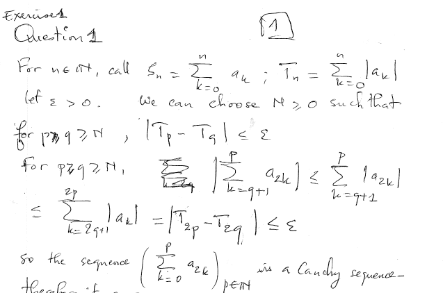
EXERCISE 1. (5+3=8 marks) Let (an) be a sequence of resal numbers. ...
EXERCISE 1. (5+3=8 marks) Let (an) be a sequence of resal numbers....