Subjects
Online Tutoring
Homework Help
Homework Library
Tutors
Online Classes
More
Bookstore
Blog
Technical Tips
FAQ
Contact Us
Get Help Now
Home
Homework Library
Mathematics
Real Analysis
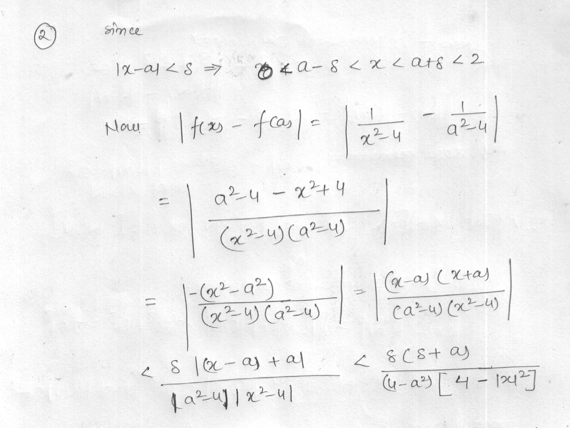
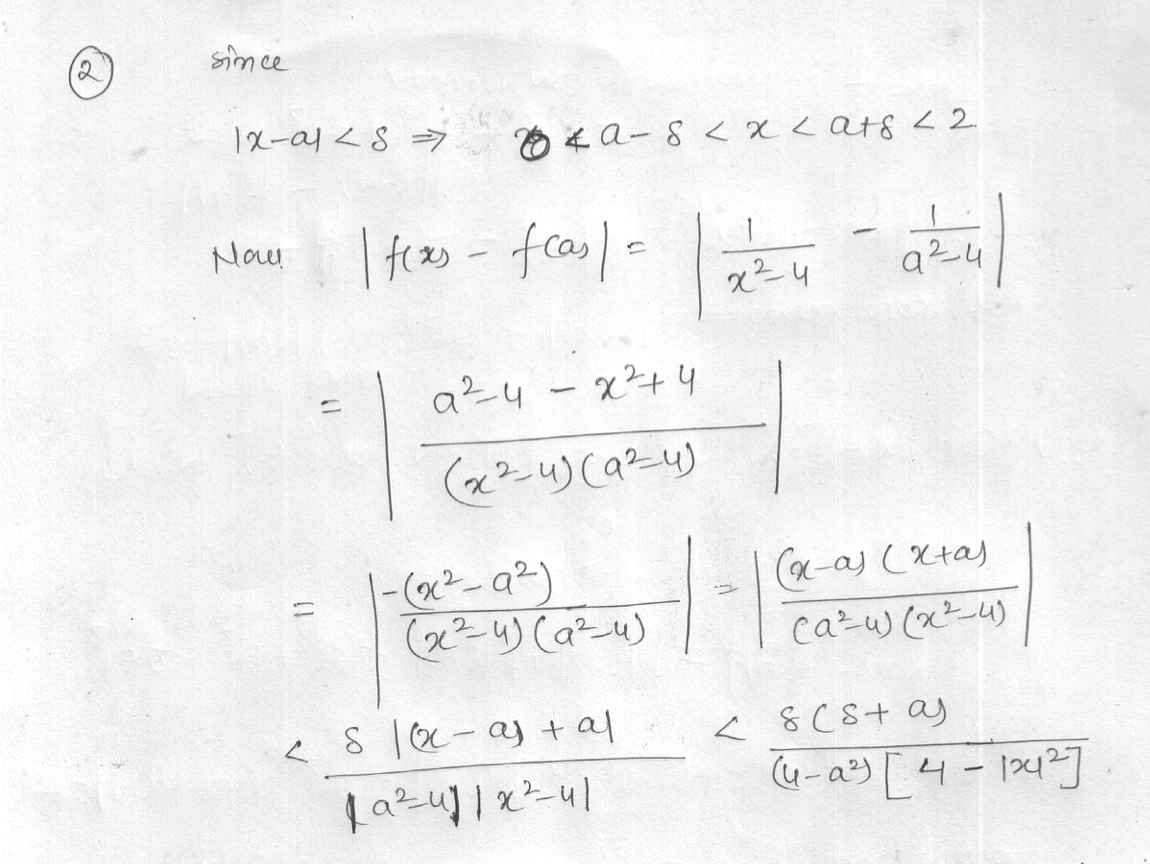
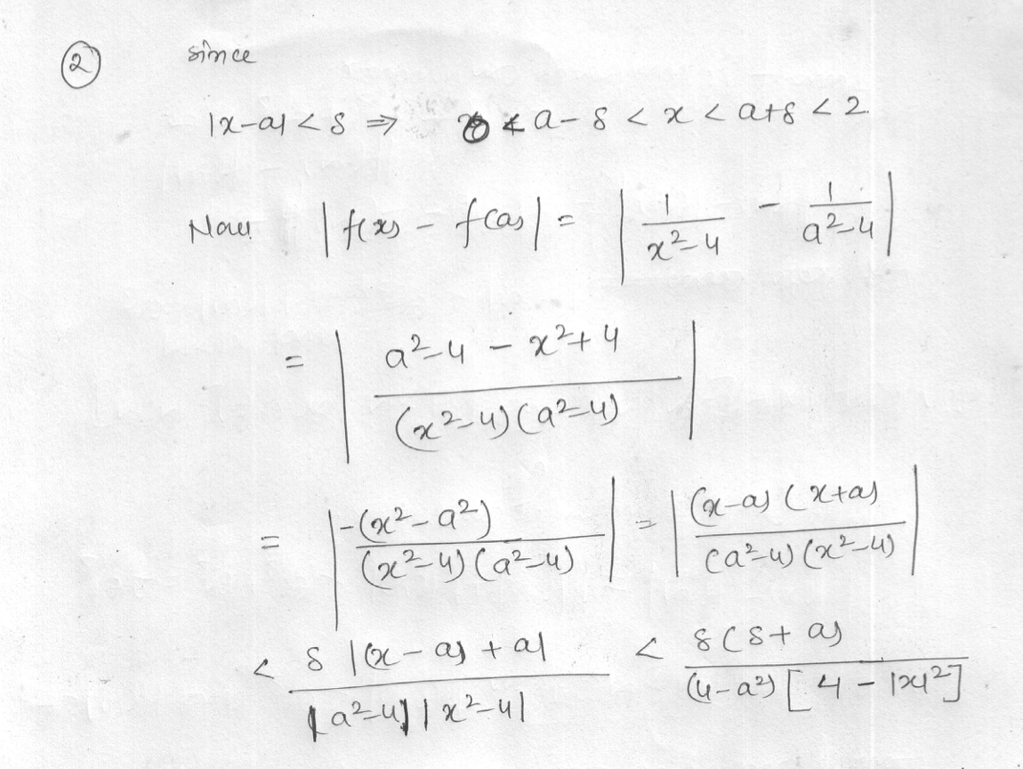
#2 Using the E, S definition of continuity, prove that continuous o...
#2 Using the E, S definition of continuity, prove that continuous o...