Subjects
Online Tutoring
Homework Help
Homework Library
Tutors
More
Bookstore
Blog
Technical Tips
FAQ
Contact Us
Get Help Now
Home
Homework Library
Mathematics
Real Analysis
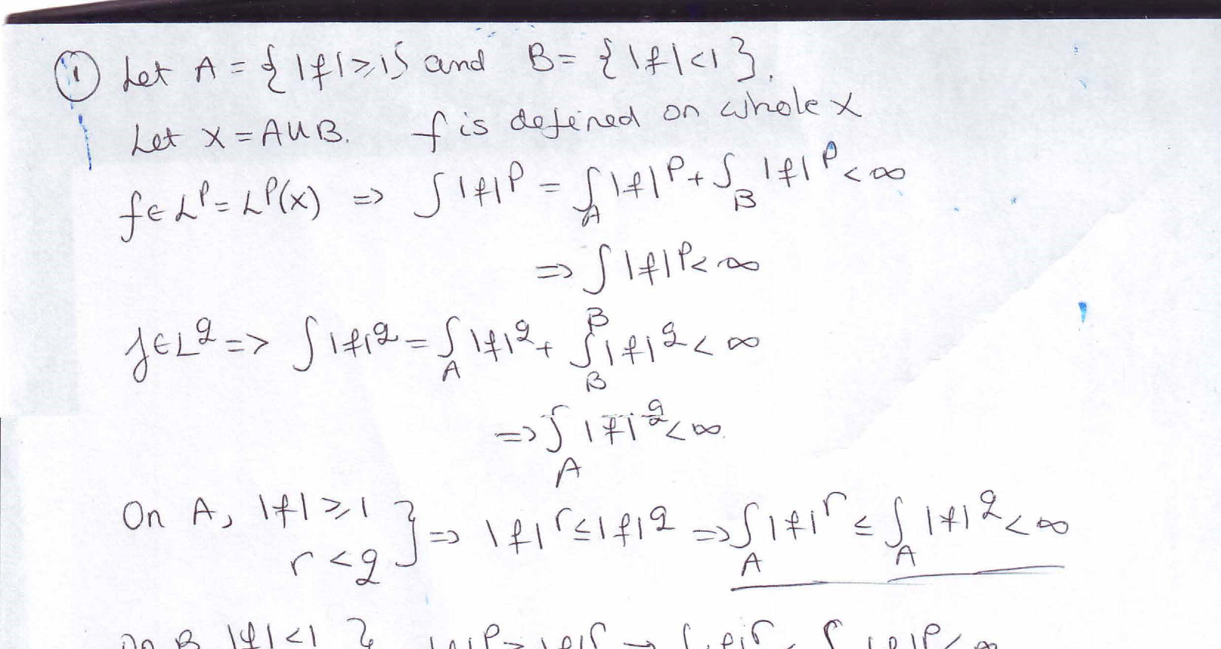
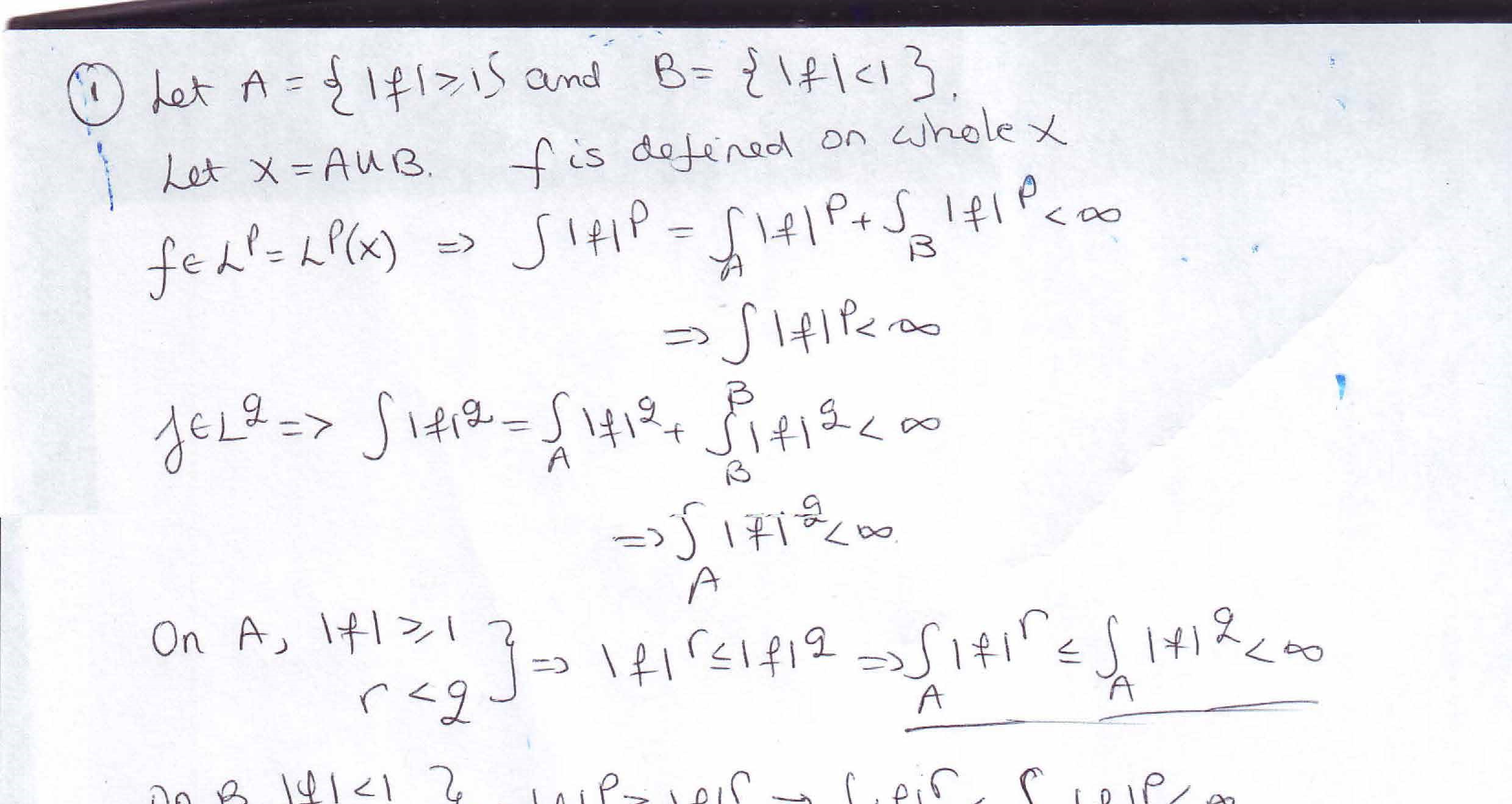
PART II Do J out of 5 problems i) Let fsL n L9, , where 12 peq. ha...
PART II Do J out of 5 problems i) Let fsL n L9, , where 12 peq. ha...