Subjects
Online Tutoring
Homework Help
Homework Library
Tutors
Online Classes
More
Bookstore
Blog
Technical Tips
FAQ
Contact Us
Get Help Now
Home
Homework Library
Mathematics
Real Analysis
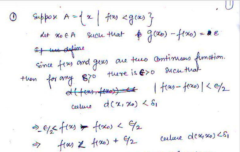
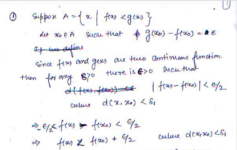
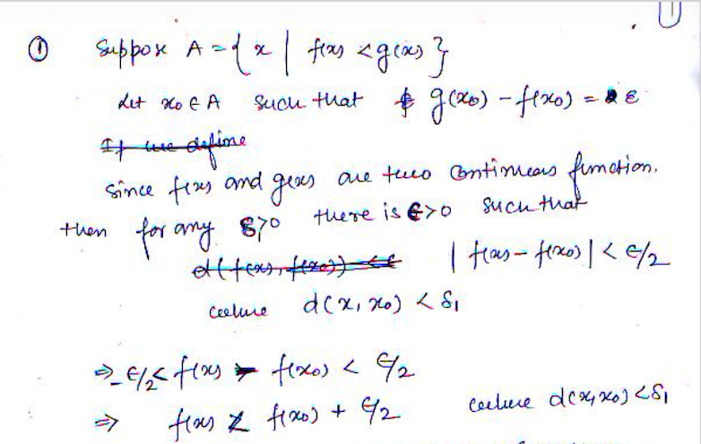
1-Let f and g be a continuous real valued function on the metric sp...
1-Let f and g be a continuous real valued function on the metric sp...