Subjects
Online Tutoring
Homework Help
Homework Library
Tutors
More
Bookstore
Blog
Technical Tips
FAQ
Contact Us
Get Help Now
Home
Homework Library
Mathematics
Real Analysis
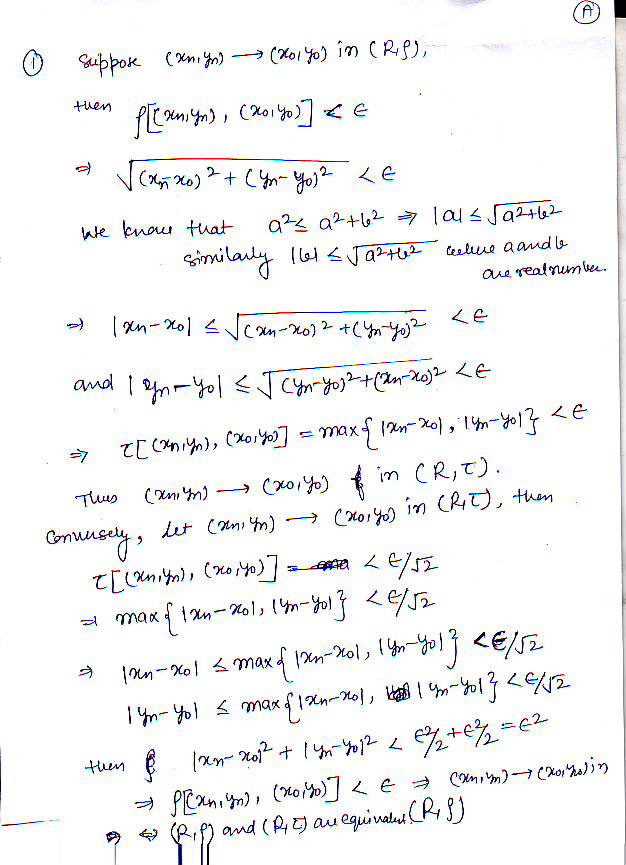
*Difin P and T on R2 BY p(x1,y1),(x2,y2)=J(x2-x1)2+y2-y1)2 = T (x1...
*Difin P and T on R2 BY p(x1,y1),(x2,y2)=J(x2-x1)2+y2-y1)2 = T (x1...