Subjects
Online Tutoring
Homework Help
Homework Library
Tutors
More
Bookstore
Blog
Technical Tips
FAQ
Contact Us
Get Help Now
Home
Homework Library
Mathematics
Real Analysis
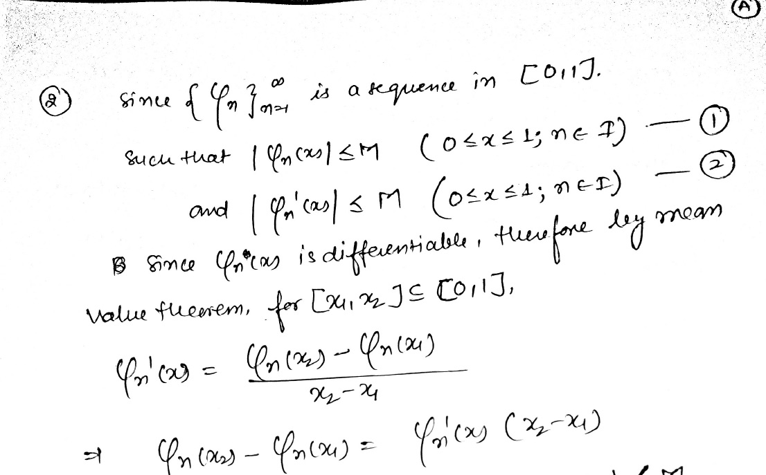
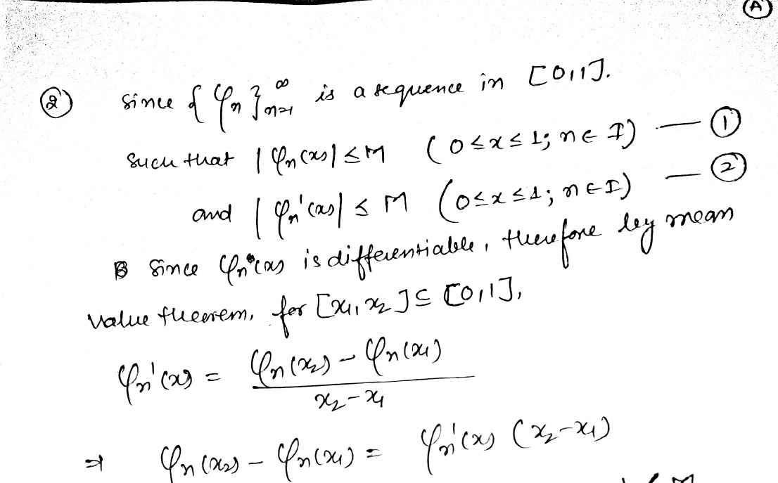
P< 2. Let {Qn}n=1 be any sequence of functions on [0,1] suc...
P< 2. Let {Qn}n=1 be any sequence of functions on [0,1] suc...