Subjects
Online Tutoring
Homework Help
Homework Library
Tutors
Online Classes
More
Bookstore
Blog
Technical Tips
FAQ
Contact Us
Get Help Now
Home
Homework Library
Mathematics
Real Analysis
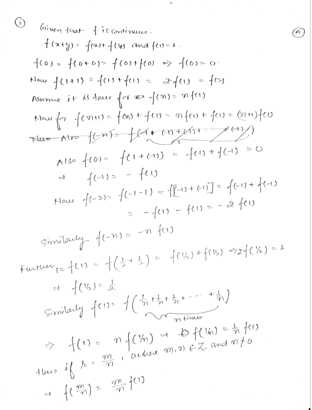
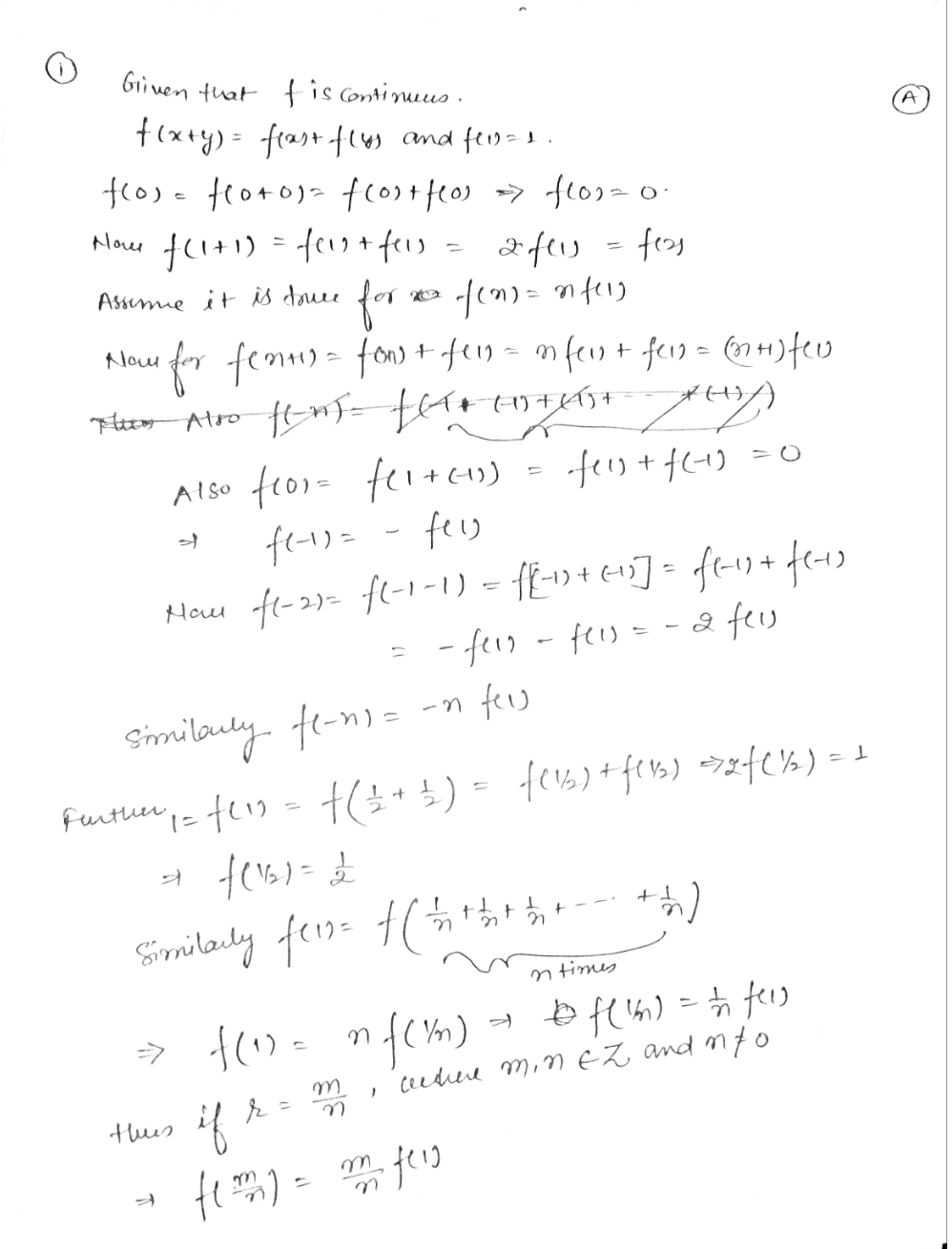
#1) Let f: R R be a continuous function such that f(x f(x) + f(y) a...
#1) Let f: R R be a continuous function such that f(x f(x) + f(y) a...