Subjects
Online Tutoring
Homework Help
Homework Library
Tutors
Online Classes
More
Bookstore
Blog
Technical Tips
FAQ
Contact Us
Get Help Now
Home
Homework Library
Mathematics
Real Analysis
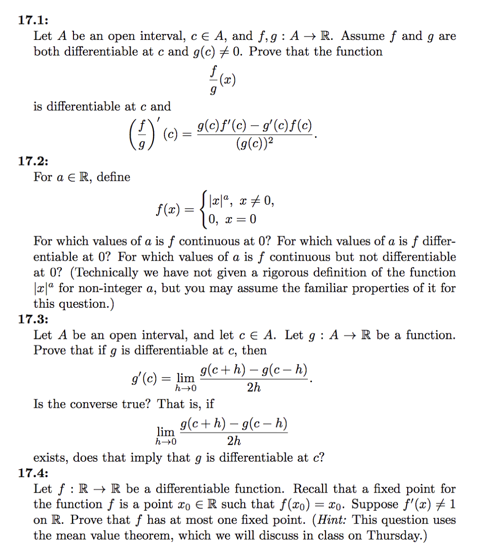
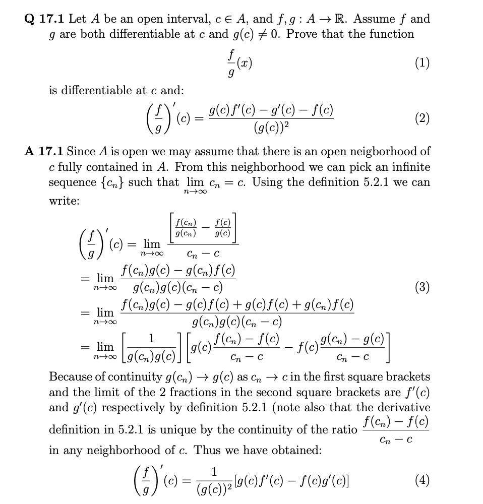
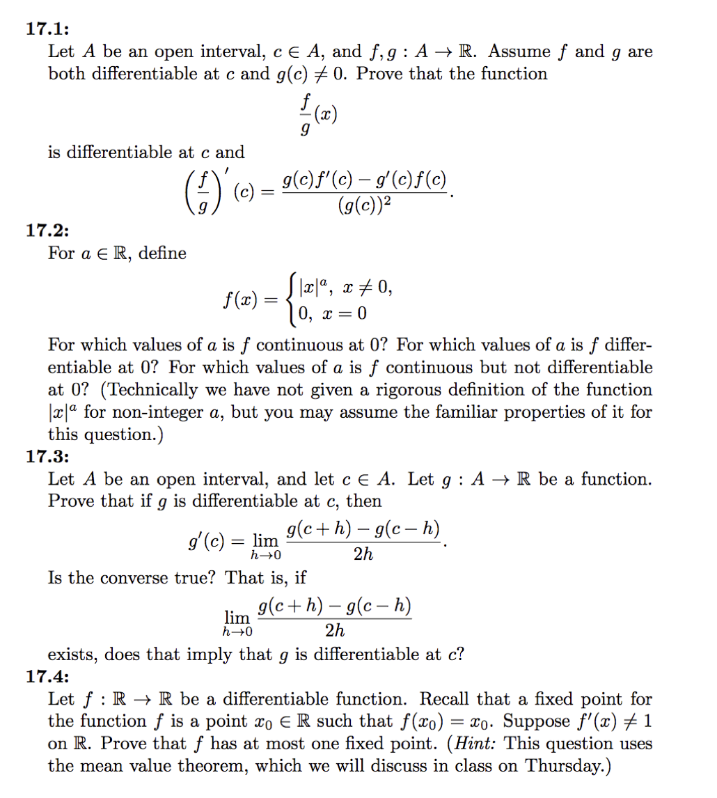
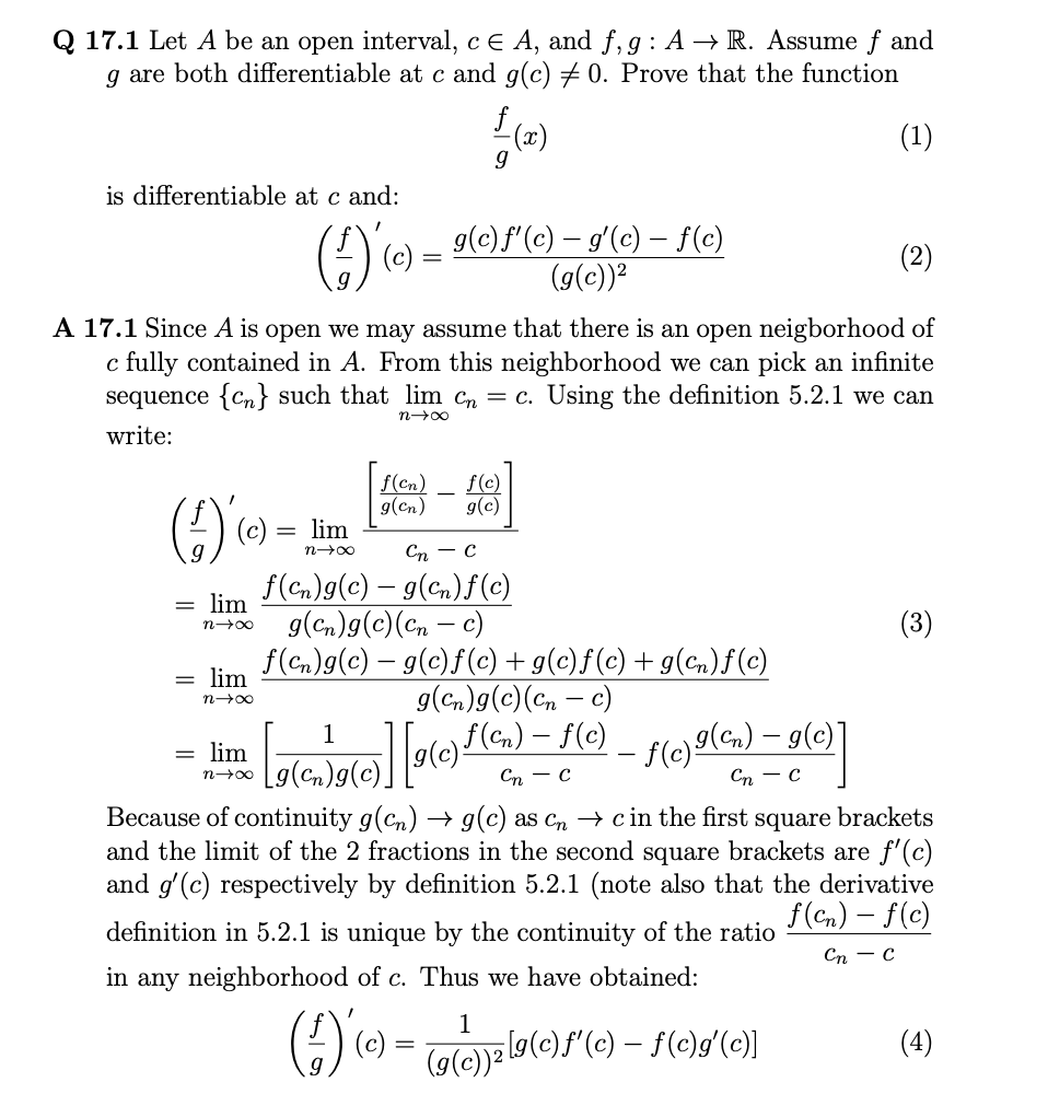
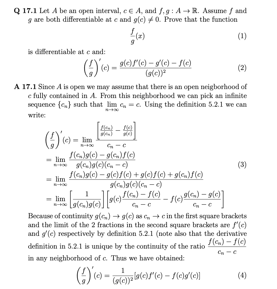
17.1: Let A be an open interval, C E A, and f,g : A R. Assume f an...
17.1: Let A be an open interval, C E A, and f,g : A R. Assume f an...