Subjects
Online Tutoring
Homework Help
Homework Library
Tutors
Online Classes
More
Bookstore
Blog
Technical Tips
FAQ
Contact Us
Get Help Now
Home
Homework Library
Mathematics
Real Analysis
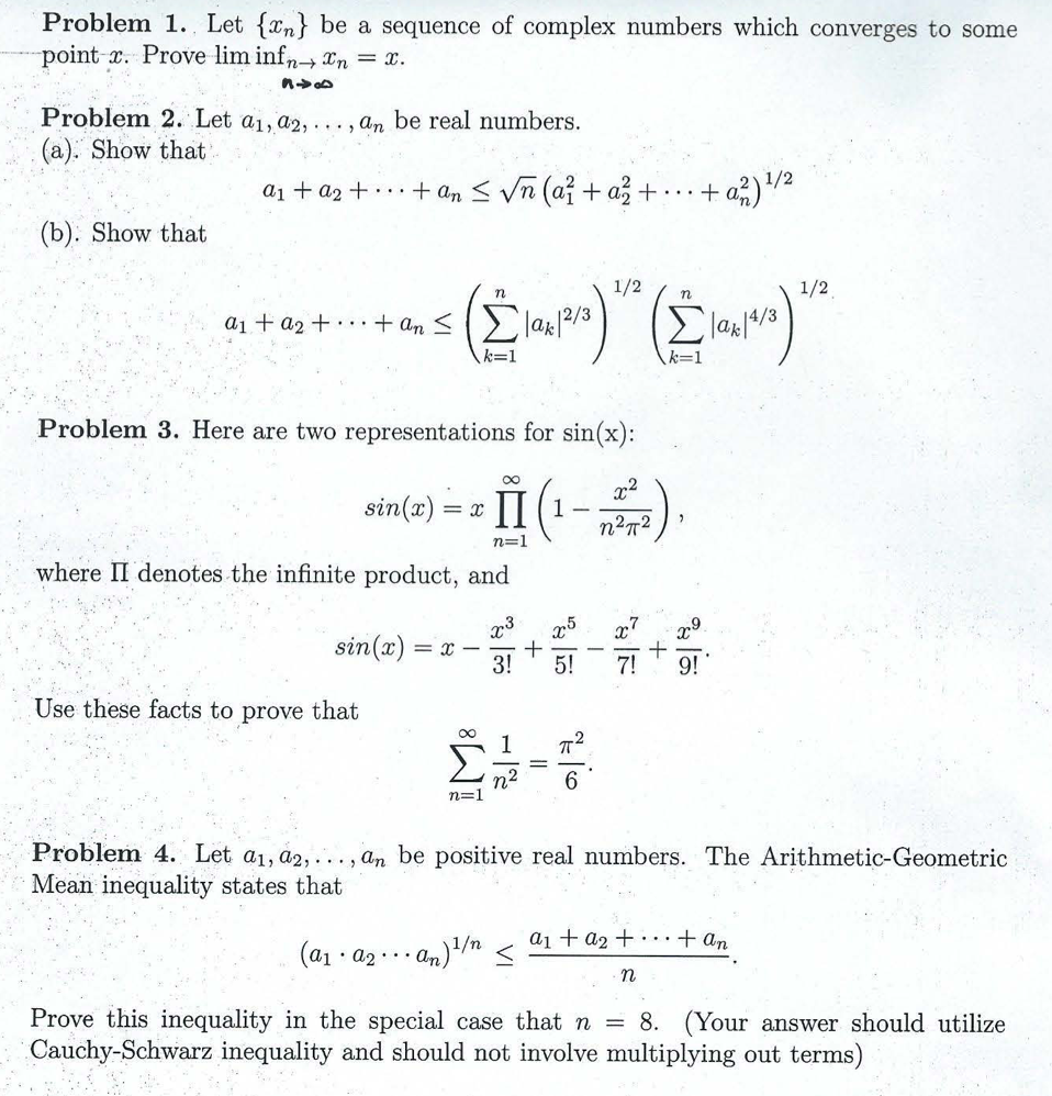
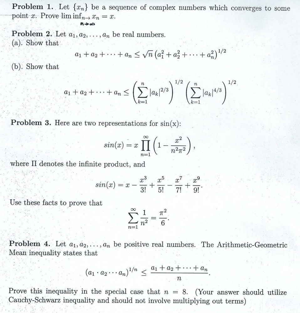
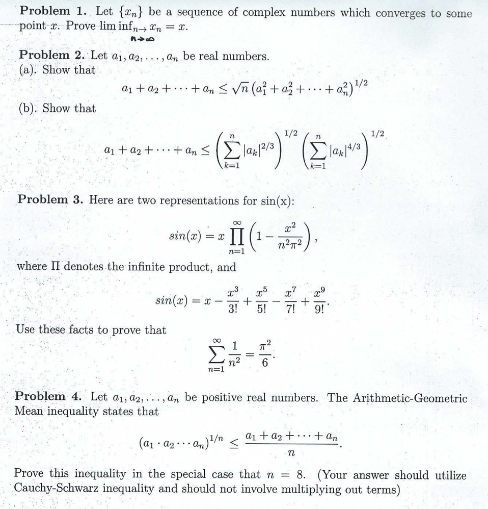
Problem 1. Let {Xn} be a sequence of complex numbers which converge...
Problem 1. Let {Xn} be a sequence of complex numbers which converge...