Subjects
Online Tutoring
Homework Help
Homework Library
Tutors
More
Bookstore
Blog
Technical Tips
FAQ
Contact Us
Get Help Now
Home
Homework Library
Mathematics
Real Analysis
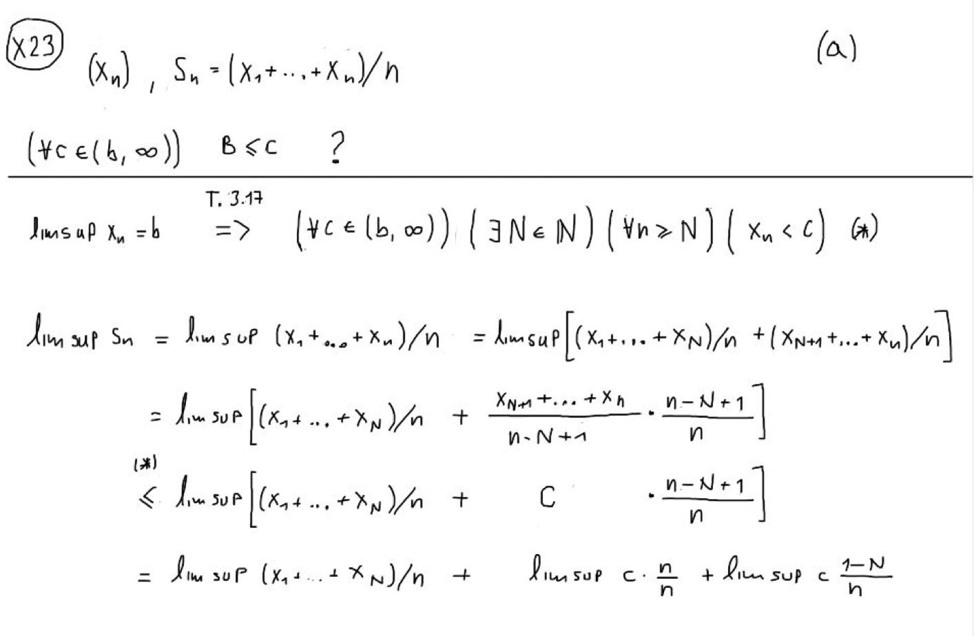
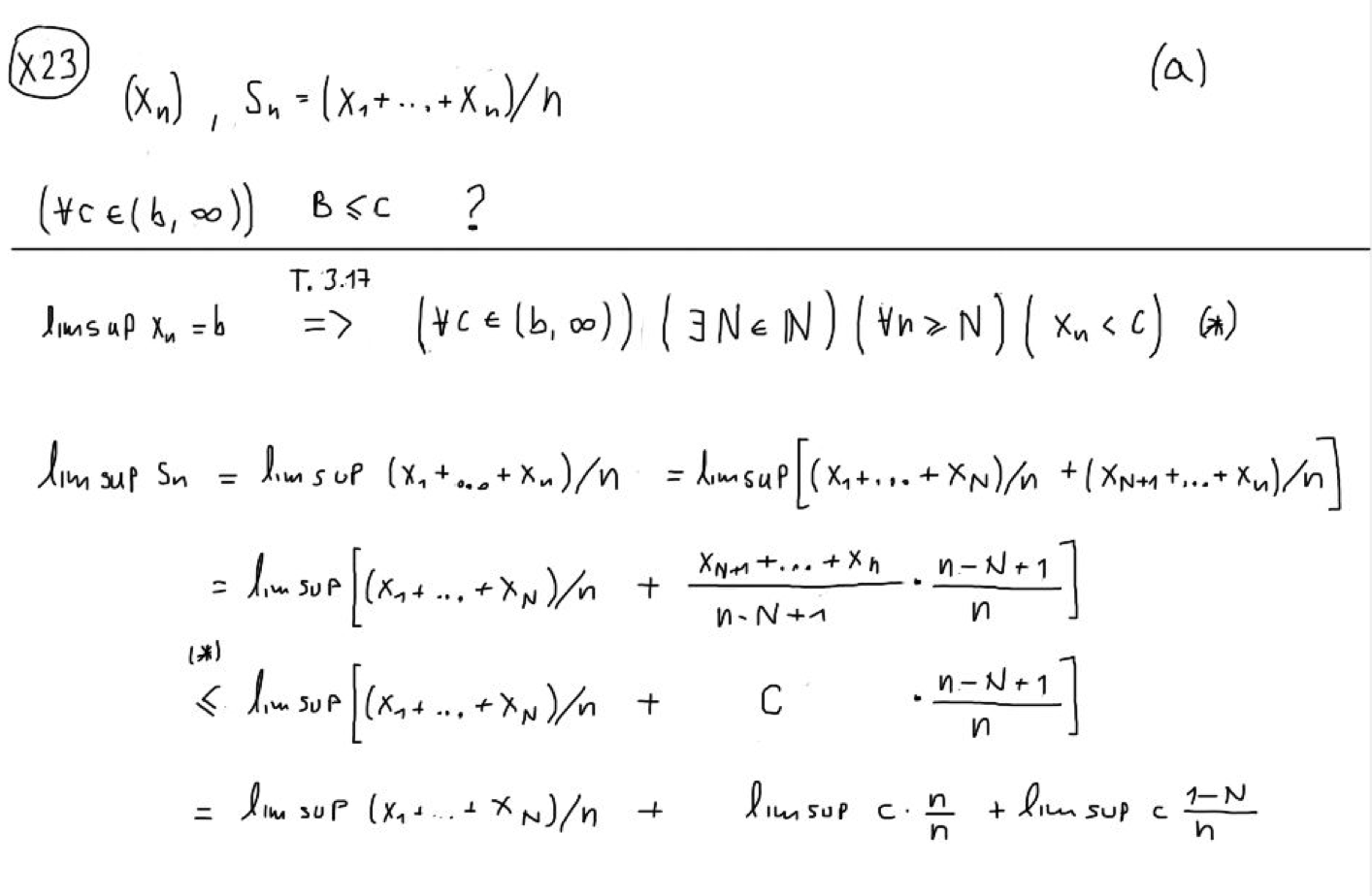
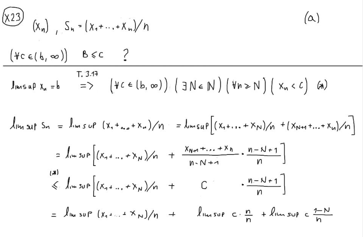
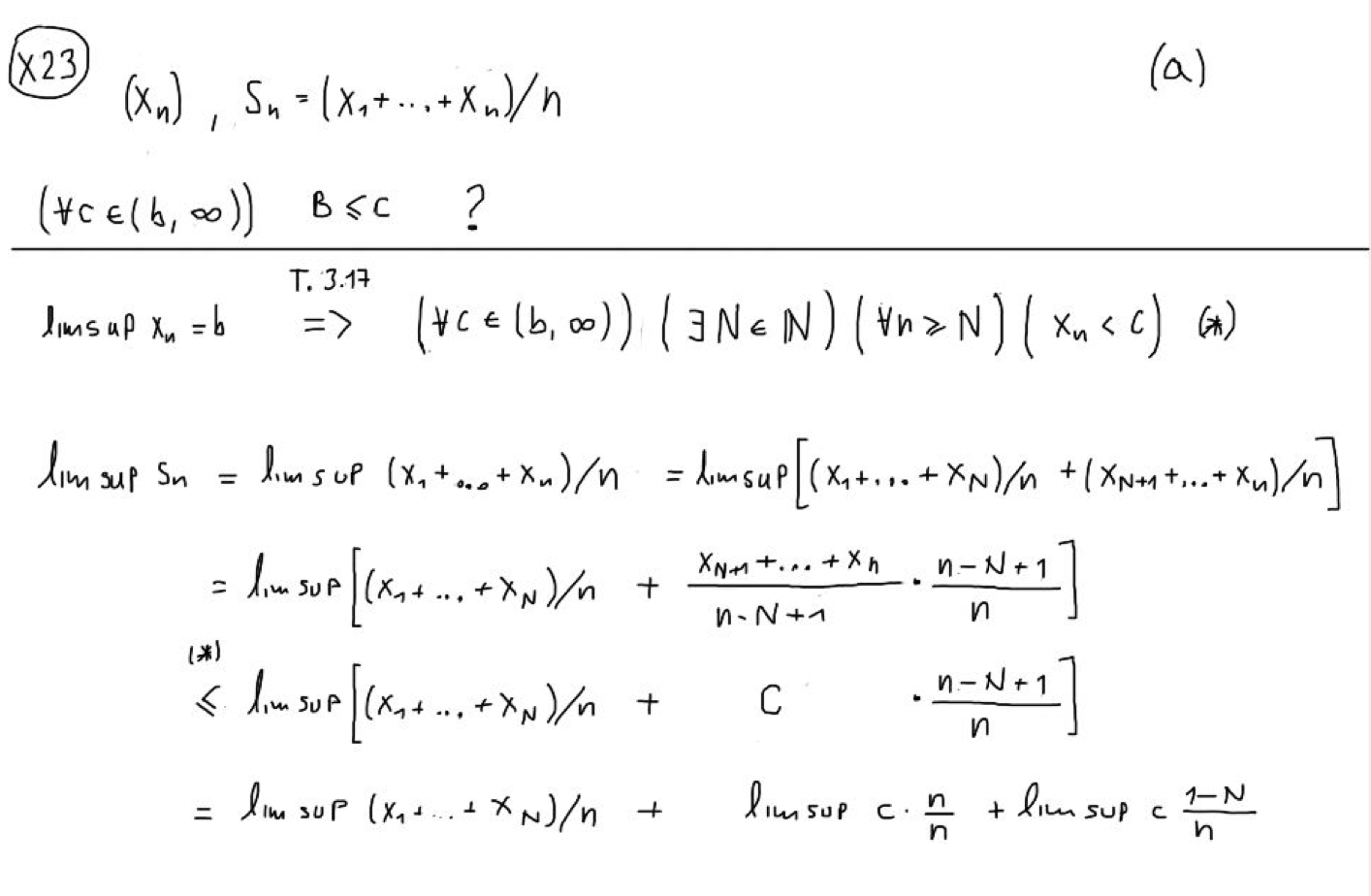
X23. Let (xn) be a sequence in R. For each n, let Sn = be the avera...
X23. Let (xn) be a sequence in R. For each n, let Sn = be the avera...