Subjects
Online Tutoring
Homework Help
Homework Library
Tutors
Online Classes
More
Bookstore
Blog
Technical Tips
FAQ
Contact Us
Get Help Now
Home
Homework Library
Mathematics
Real Analysis
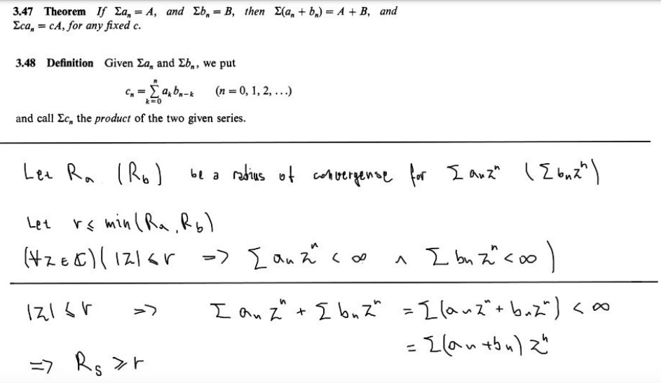
3.13:1. Radii of convergence of sum and product series. (d:2. 3.12:...
3.13:1. Radii of convergence of sum and product series. (d:2. 3.12:...