Subjects
Online Tutoring
Homework Help
Homework Library
Tutors
Online Classes
More
Bookstore
Blog
Technical Tips
FAQ
Contact Us
Get Help Now
Home
Homework Library
Mathematics
Real Analysis
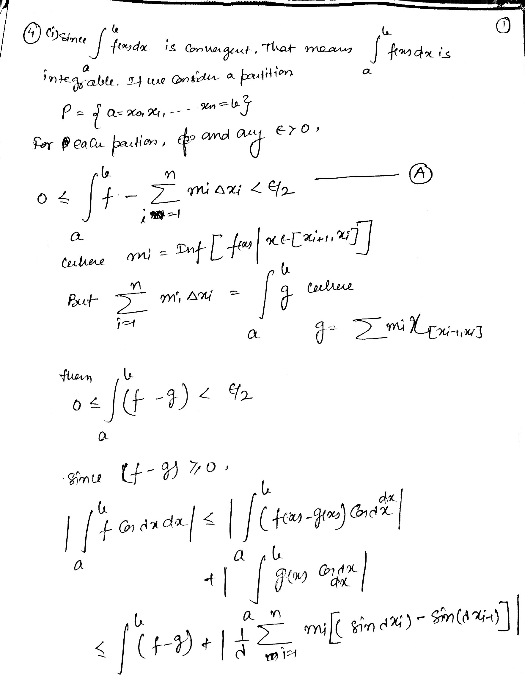
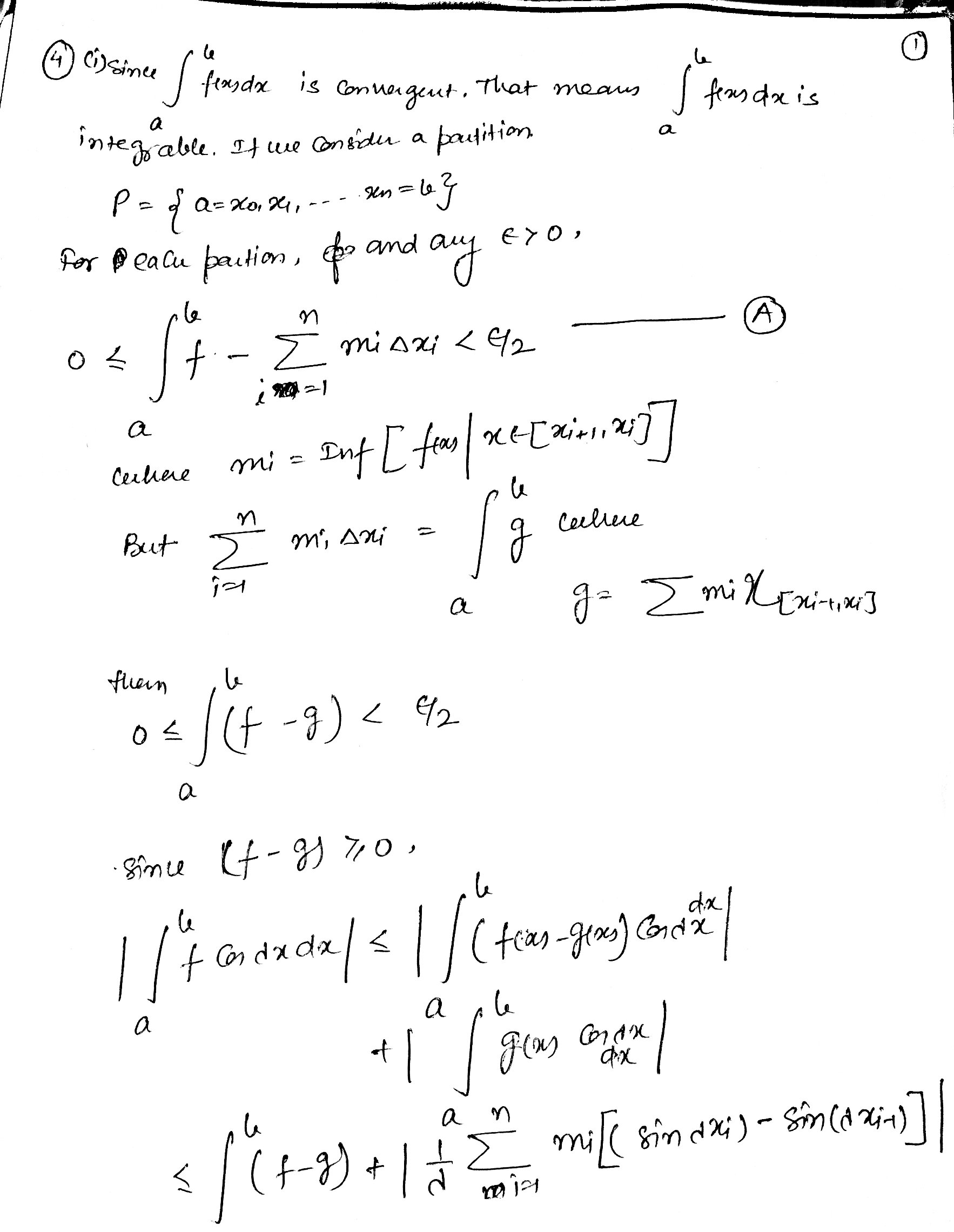
4. (i) Consider a half-open interval [a, b) with - 00 and let f: [a...
4. (i) Consider a half-open interval [a, b) with - 00 and let f: [a...