Subjects
Online Tutoring
Homework Help
Homework Library
Tutors
Online Classes
More
Bookstore
Blog
Technical Tips
FAQ
Contact Us
Get Help Now
Home
Homework Library
Mathematics
Real Analysis
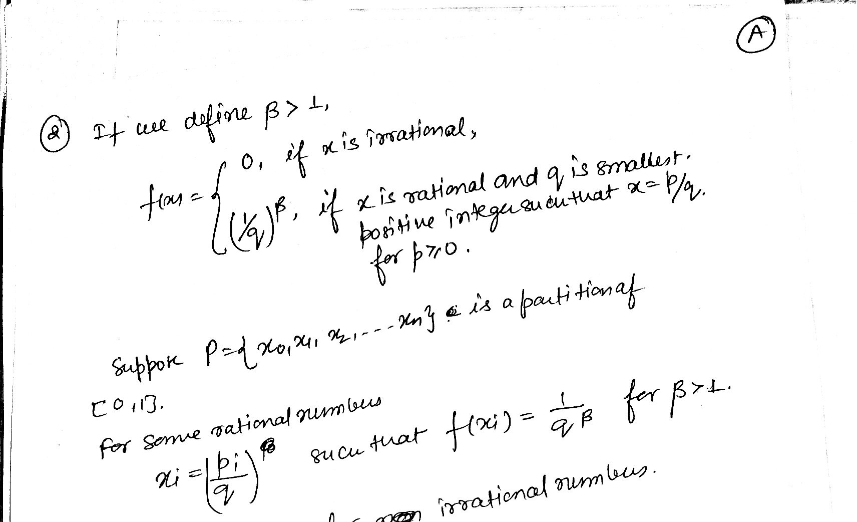
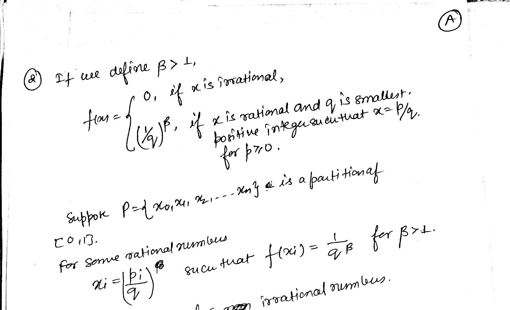
1. Let C C Lo, 1] be the Cantor set and O: [o, 1] TR be the Canto...
1. Let C C Lo, 1] be the Cantor set and O: [o, 1] TR be the Canto...