Subjects
Online Tutoring
Homework Help
Homework Library
Tutors
Online Classes
More
Bookstore
Blog
Technical Tips
FAQ
Contact Us
Get Help Now
Home
Homework Library
Mathematics
Real Analysis
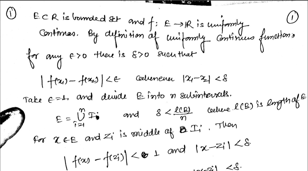
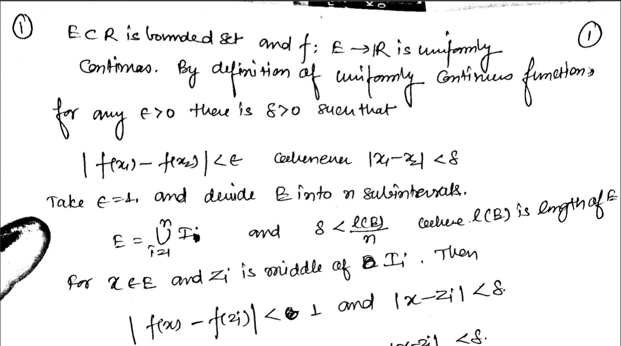
(10 pts) Let E C R be a bounded set of reals. and f : E IR a unif...
(10 pts) Let E C R be a bounded set of reals. and f : E IR a unif...