Subjects
Online Tutoring
Homework Help
Homework Library
Tutors
Online Classes
More
Bookstore
Blog
Technical Tips
FAQ
Contact Us
Get Help Now
Home
Homework Library
Mathematics
Real Analysis
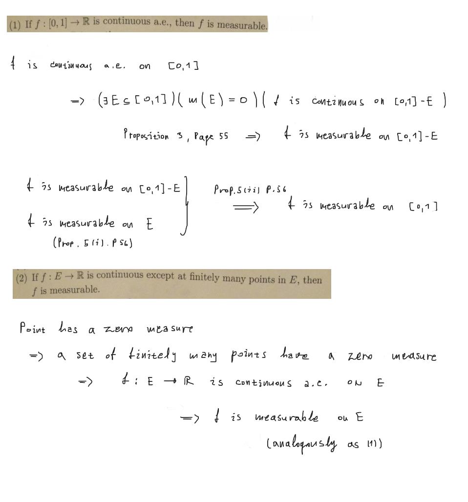
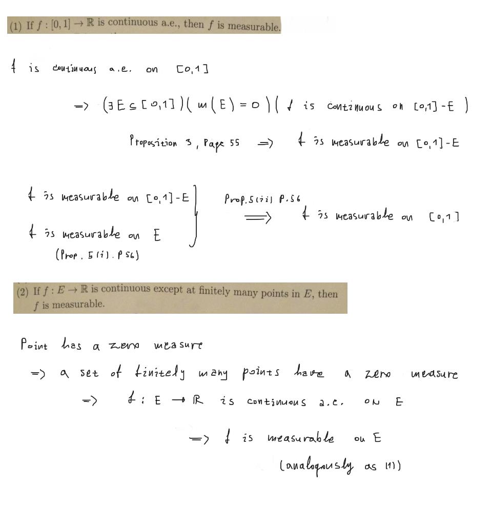
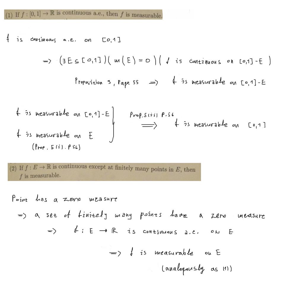
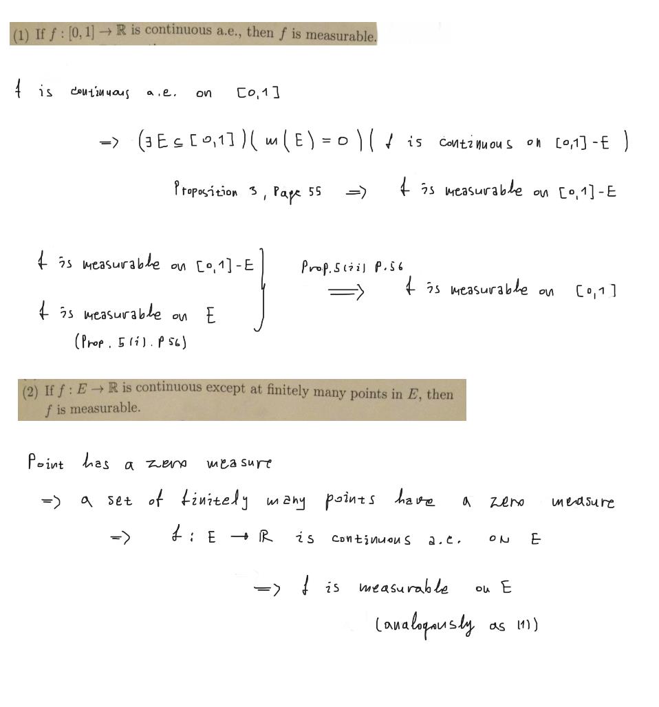
(1) If f : [0, 1] R is continuous a.e., then f is measurable. (2)...
(1) If f : [0, 1] R is continuous a.e., then f is measurable. (2)...