Subjects
Online Tutoring
Homework Help
Homework Library
Tutors
Online Classes
More
Bookstore
Blog
Technical Tips
FAQ
Contact Us
Get Help Now
Home
Homework Library
Mathematics
Real Analysis
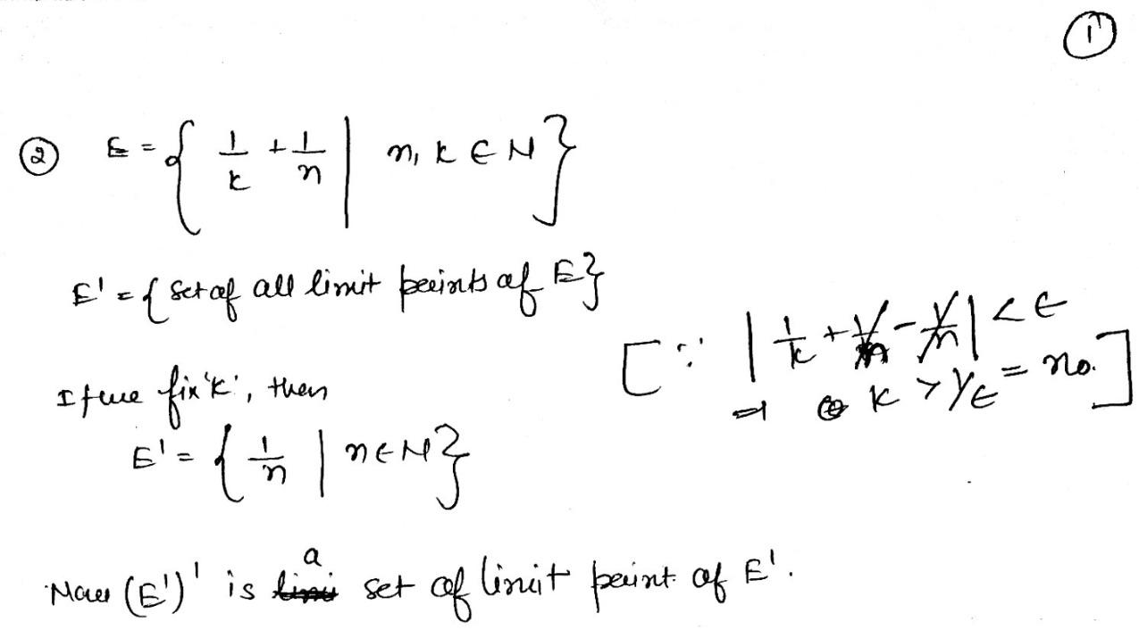
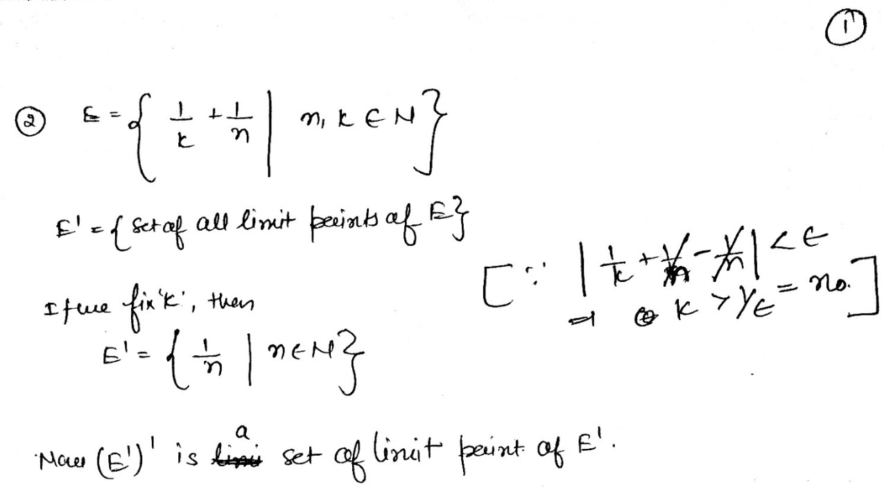
2. Let E= { Kz +1 n: k,ne N }and let d be the Euclidean metric in...
2. Let E= { Kz +1 n: k,ne N }and let d be the Euclidean metric in...