Subjects
Online Tutoring
Homework Help
Homework Library
Tutors
Online Classes
More
Bookstore
Blog
Technical Tips
FAQ
Contact Us
Get Help Now
Home
Homework Library
Mathematics
Real Analysis
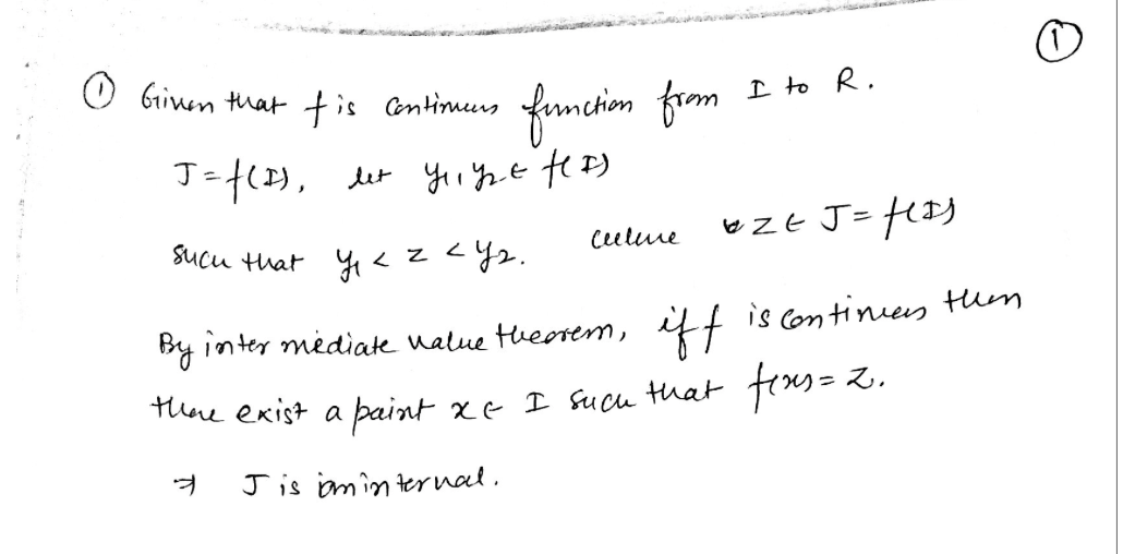
Let I be an interval of R and let f:I- R be a continuous function. ...
Let I be an interval of R and let f:I- R be a continuous function....