Subjects
Online Tutoring
Homework Help
Homework Library
Tutors
Online Classes
More
Bookstore
Blog
Technical Tips
FAQ
Contact Us
Get Help Now
Home
Homework Library
Mathematics
Real Analysis
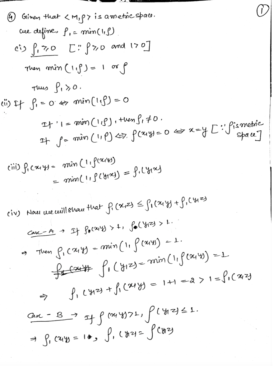
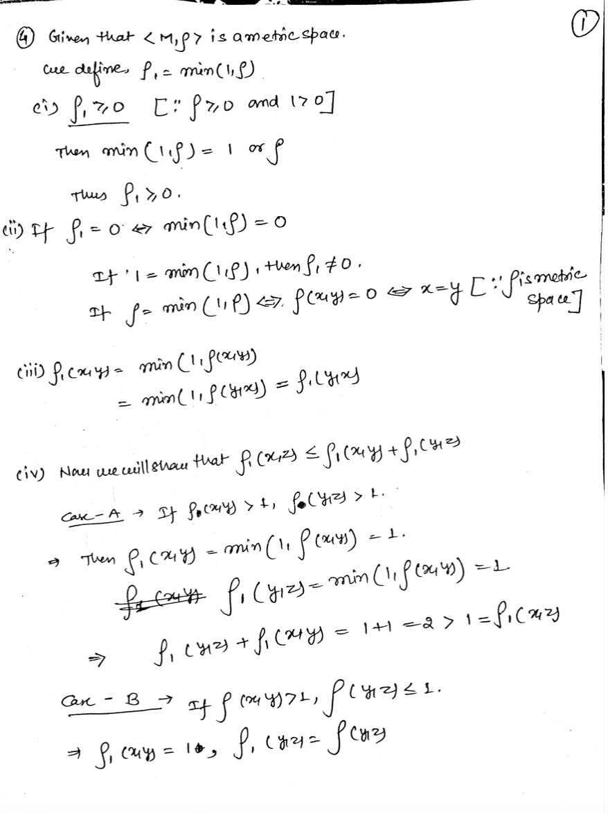
4. Let (M.p> be a metric space. Prove that min(1,p) is also a me...
4. Let (M.p> be a metric space. Prove that min(1,p) is also a me...