Subjects
Online Tutoring
Homework Help
Homework Library
Tutors
Online Classes
More
Bookstore
Blog
Technical Tips
FAQ
Contact Us
Get Help Now
Home
Homework Library
Mathematics
Real Analysis
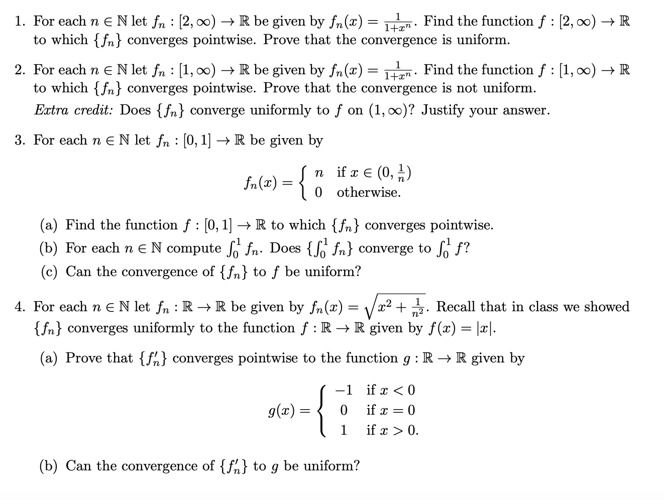
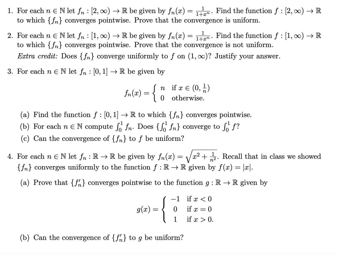
1. For each n € N let fn : [2, xo) R be given by fn (x) = 1+x...
1. For each n € N let fn : [2, xo) R be given by fn (x) = 1+xn 1...