Subjects
Online Tutoring
Homework Help
Homework Library
Tutors
Online Classes
More
Bookstore
Blog
Technical Tips
FAQ
Contact Us
Get Help Now
Home
Homework Library
Mathematics
Real Analysis
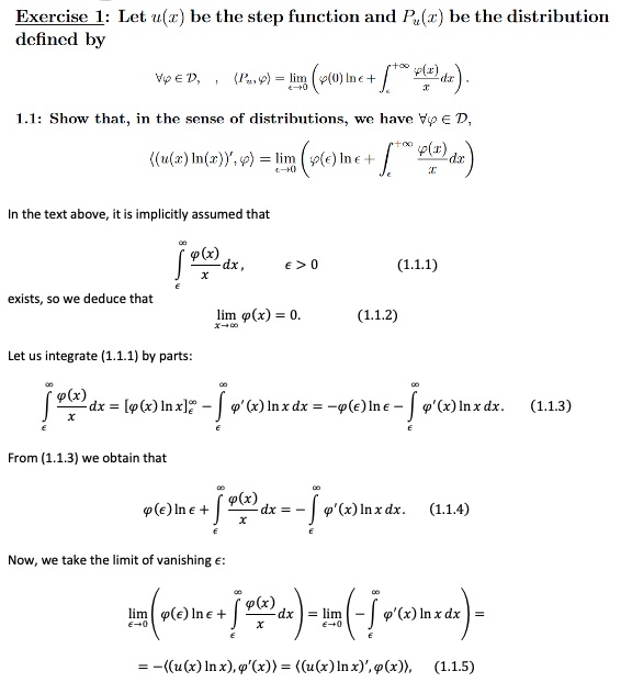
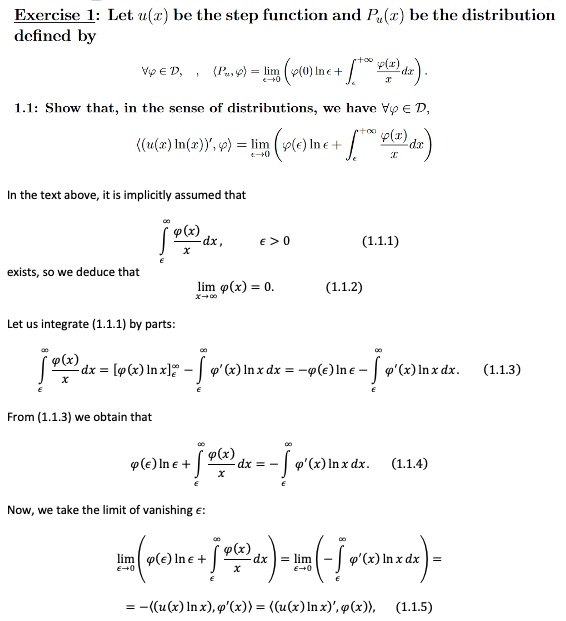
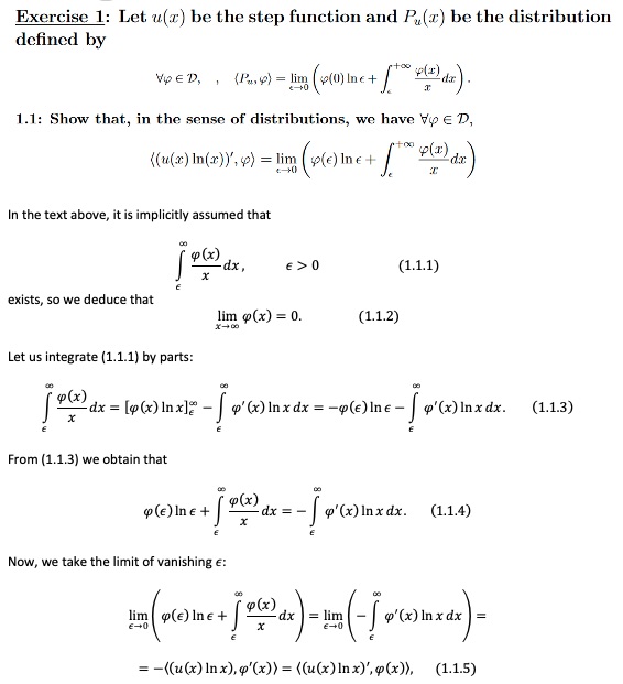
Exercise 1: Let u(x) be the step function and Pu(x) be the distribu...
Exercise 1: Let u(x) be the step function and Pu(x) be the distribu...