Subjects
Online Tutoring
Homework Help
Homework Library
Tutors
Online Classes
More
Bookstore
Blog
Technical Tips
FAQ
Contact Us
Get Help Now
Home
Homework Library
Mathematics
Real Analysis
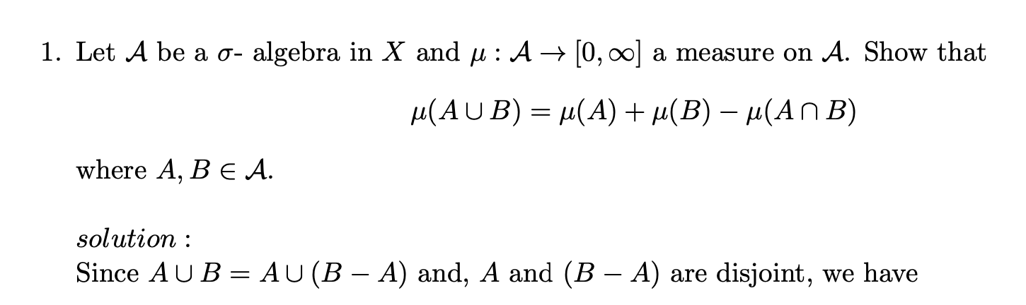
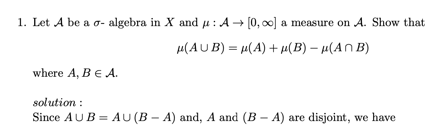
1. Let A be a o -algebra in X and H:A [0,00] a measure on A. Show t...
1. Let A be a o -algebra in X and H:A [0,00] a measure on A. Show t...