Subjects
Online Tutoring
Homework Help
Homework Library
Tutors
More
Bookstore
Blog
Technical Tips
FAQ
Contact Us
Get Help Now
Home
Homework Library
Mathematics
Real Analysis
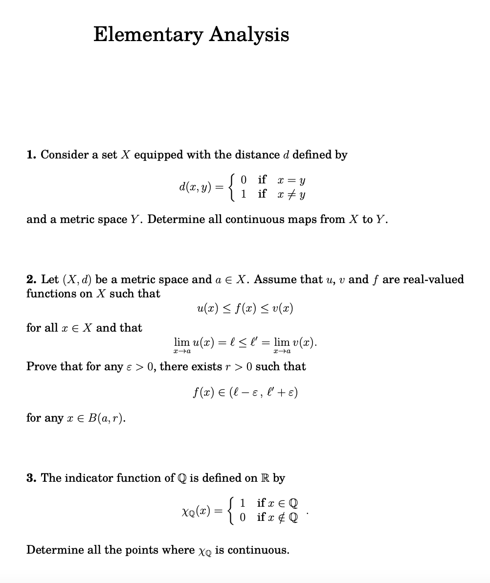
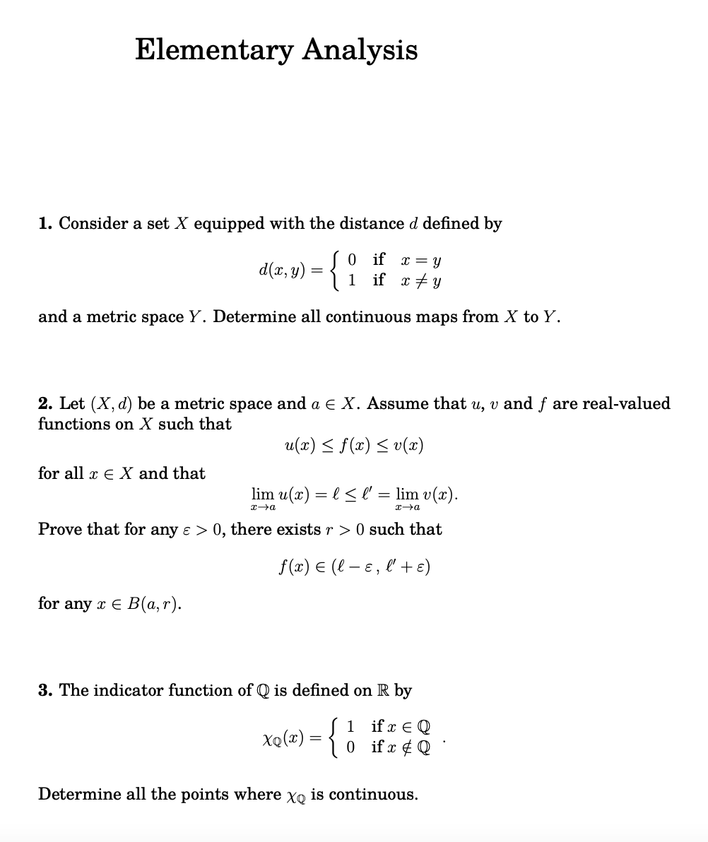
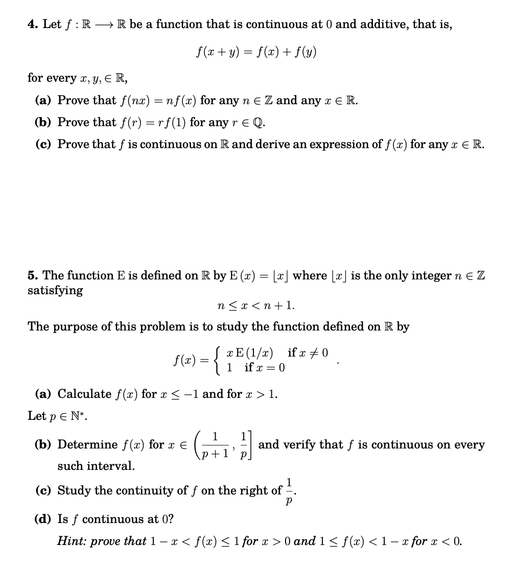
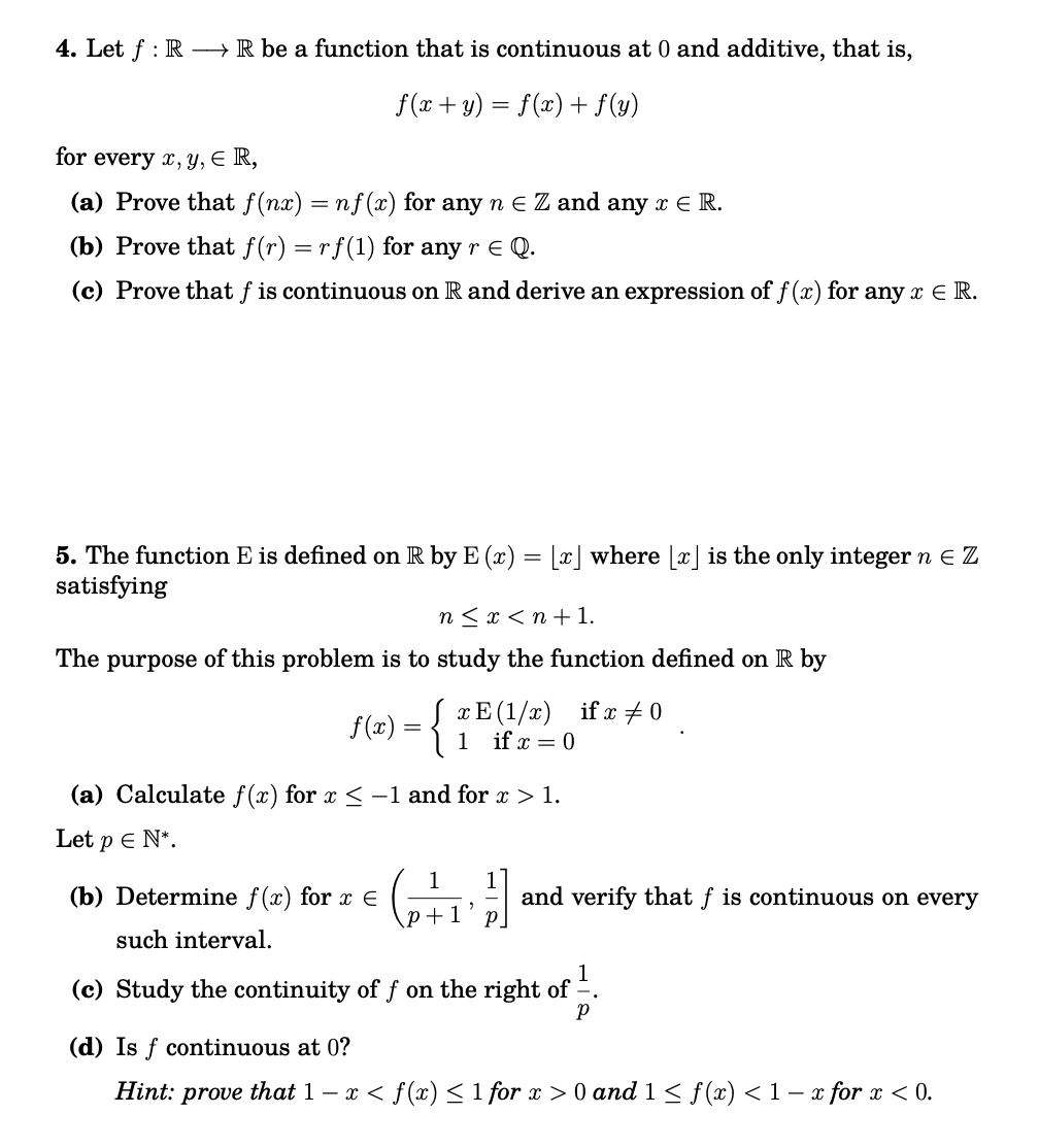
Elementary Analysis 1. Consider a set X equipped with the distance...
Elementary Analysis 1. Consider a set X equipped with the distance...