Subjects
Online Tutoring
Homework Help
Homework Library
Tutors
Online Classes
More
Bookstore
Blog
Technical Tips
FAQ
Contact Us
Get Help Now
Home
Homework Library
Mathematics
Real Analysis
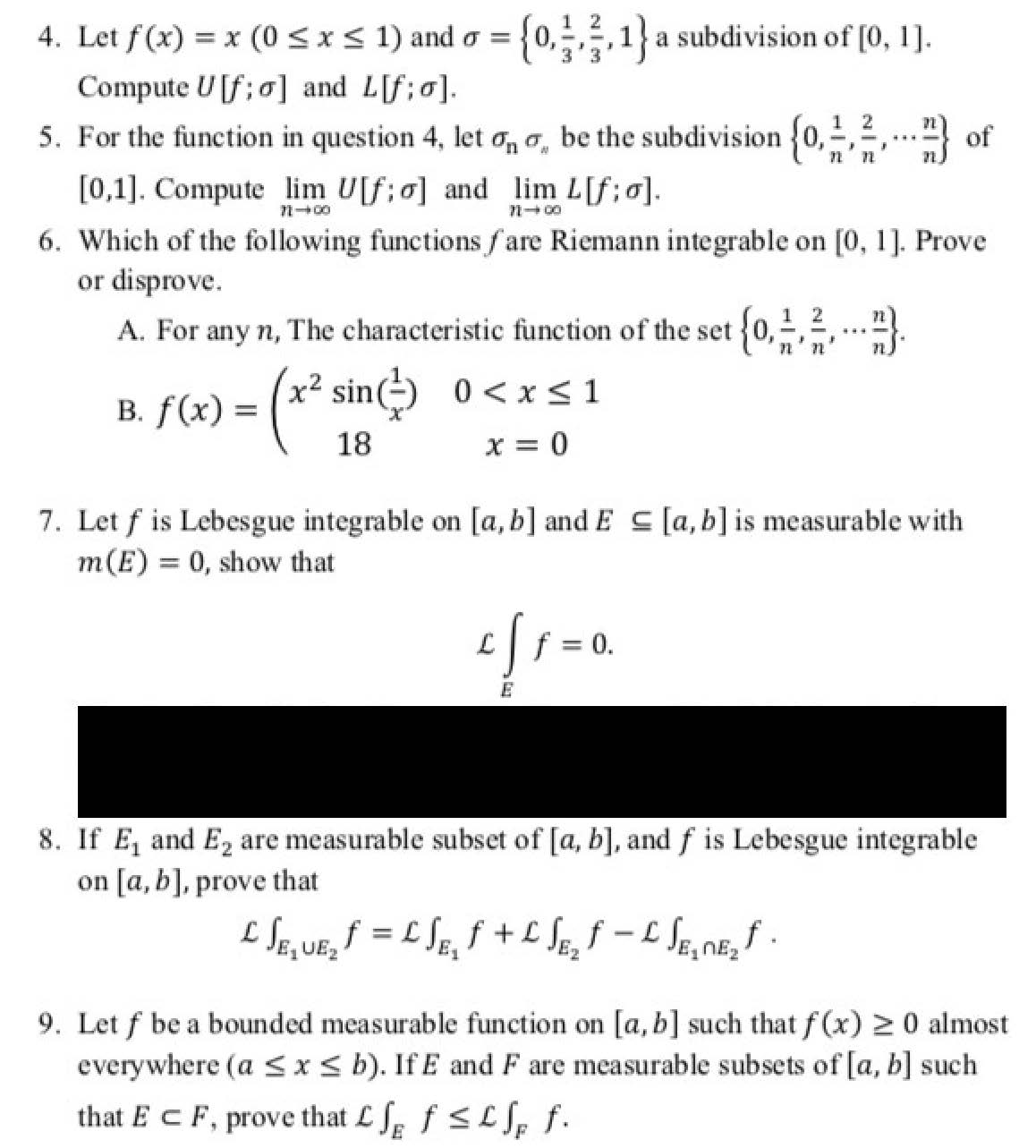
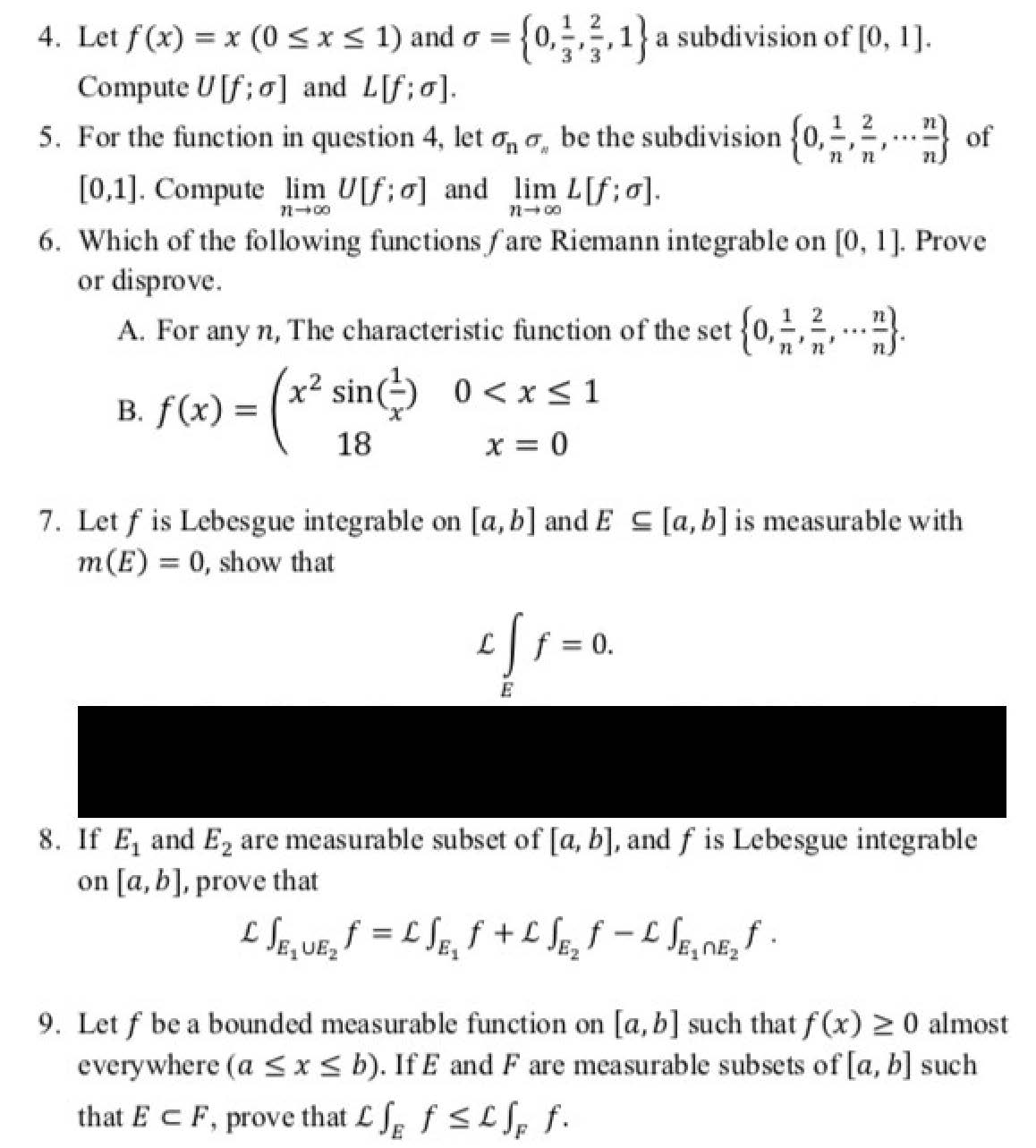
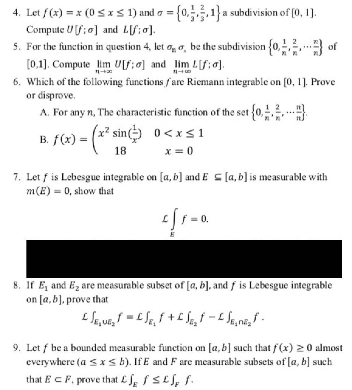
1. Let f be a bounded function on [a, b], o a subdivision of [a, b]...
1. Let f be a bounded function on [a, b], o a subdivision of [a, b]...