Subjects
Online Tutoring
Homework Help
Homework Library
Tutors
More
Bookstore
Blog
Technical Tips
FAQ
Contact Us
Get Help Now
Home
Homework Library
Mathematics
Real Analysis
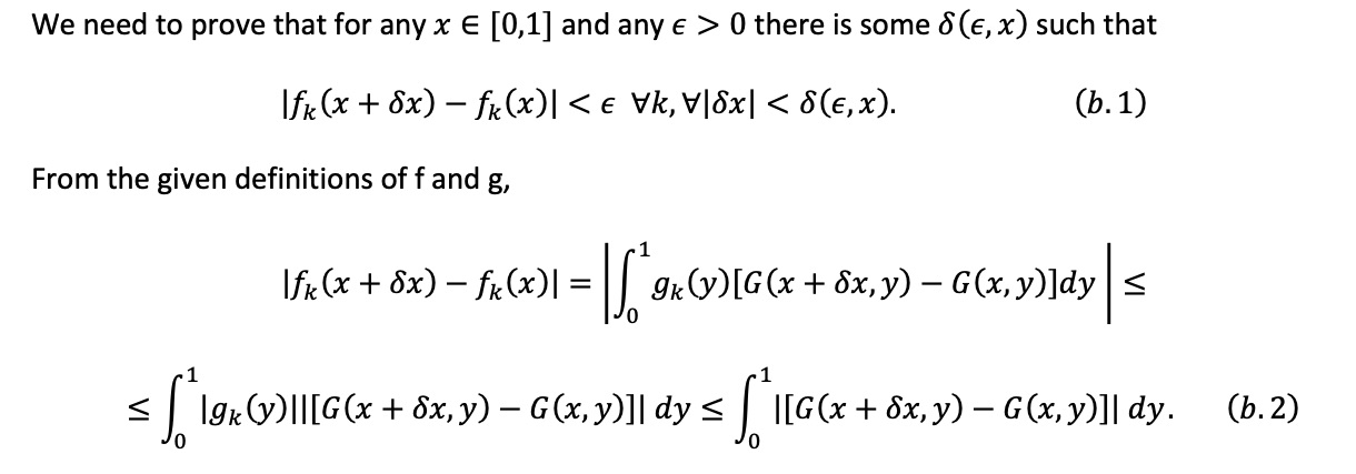
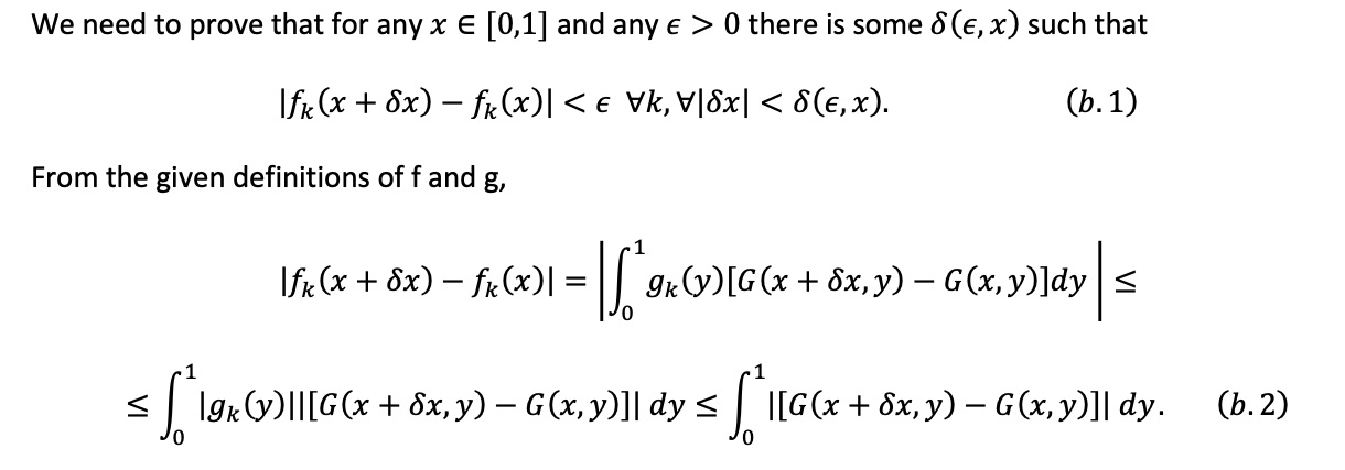
(b) Let G(x,y) be a continuous function on R² and suppose for ea...
(b) Let G(x,y) be a continuous function on R² and suppose for each...