Subjects
Online Tutoring
Homework Help
Homework Library
Tutors
Online Classes
More
Bookstore
Blog
Technical Tips
FAQ
Contact Us
Get Help Now
Home
Homework Library
Mathematics
Real Analysis
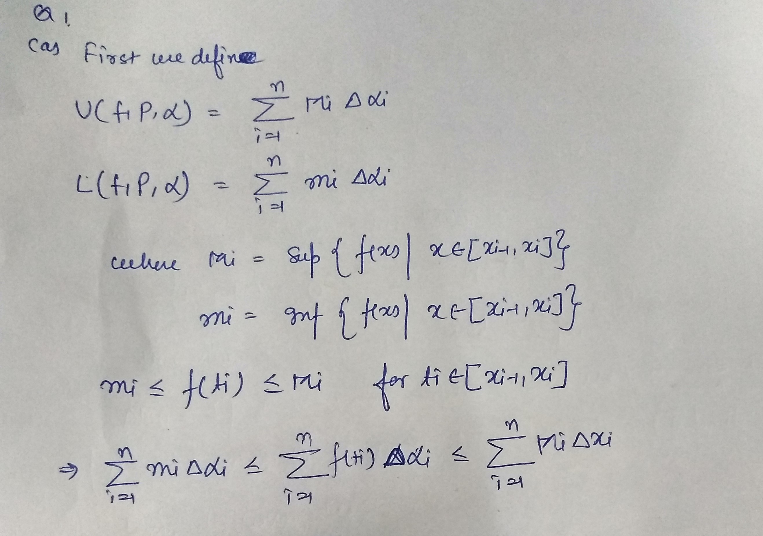
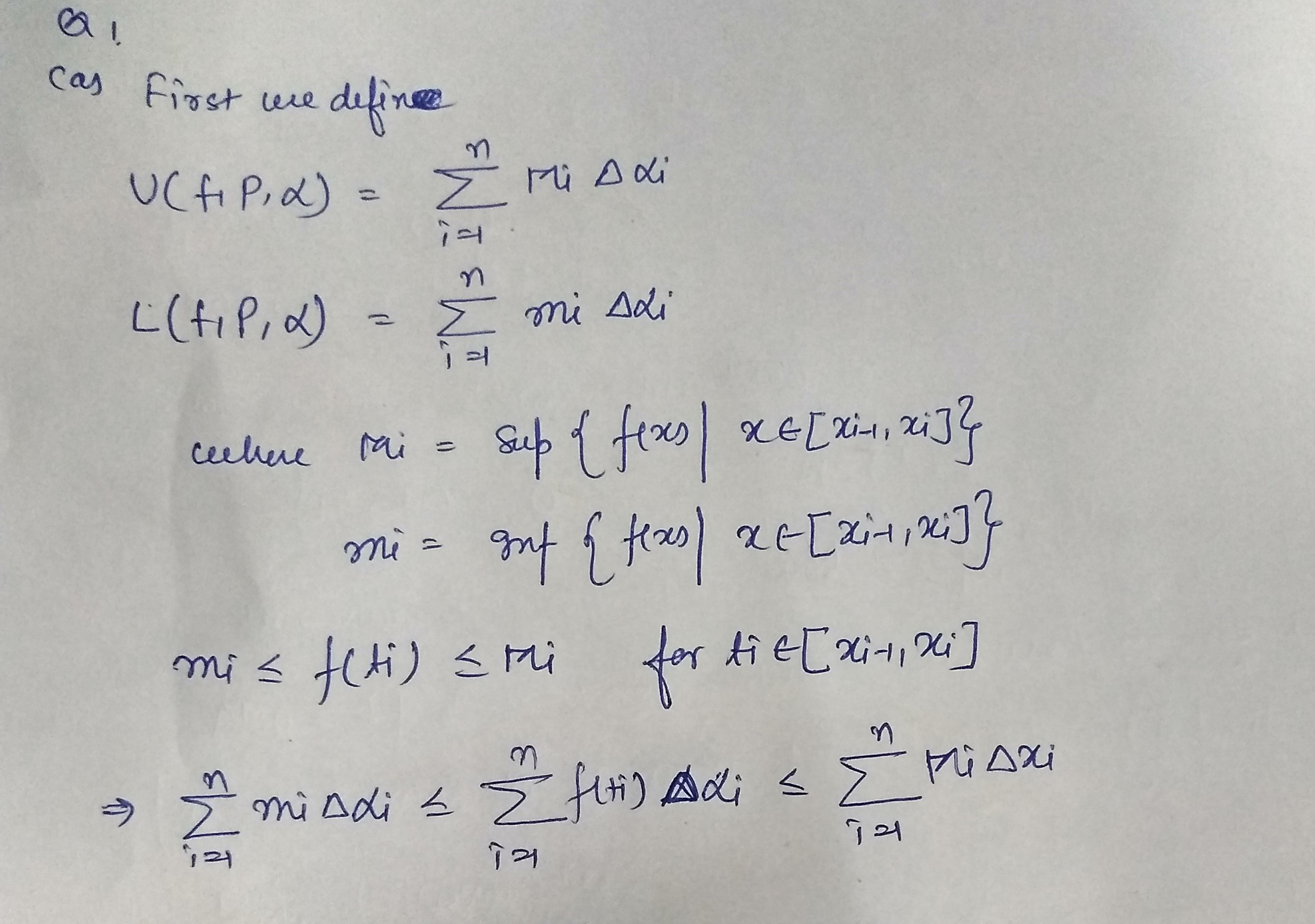
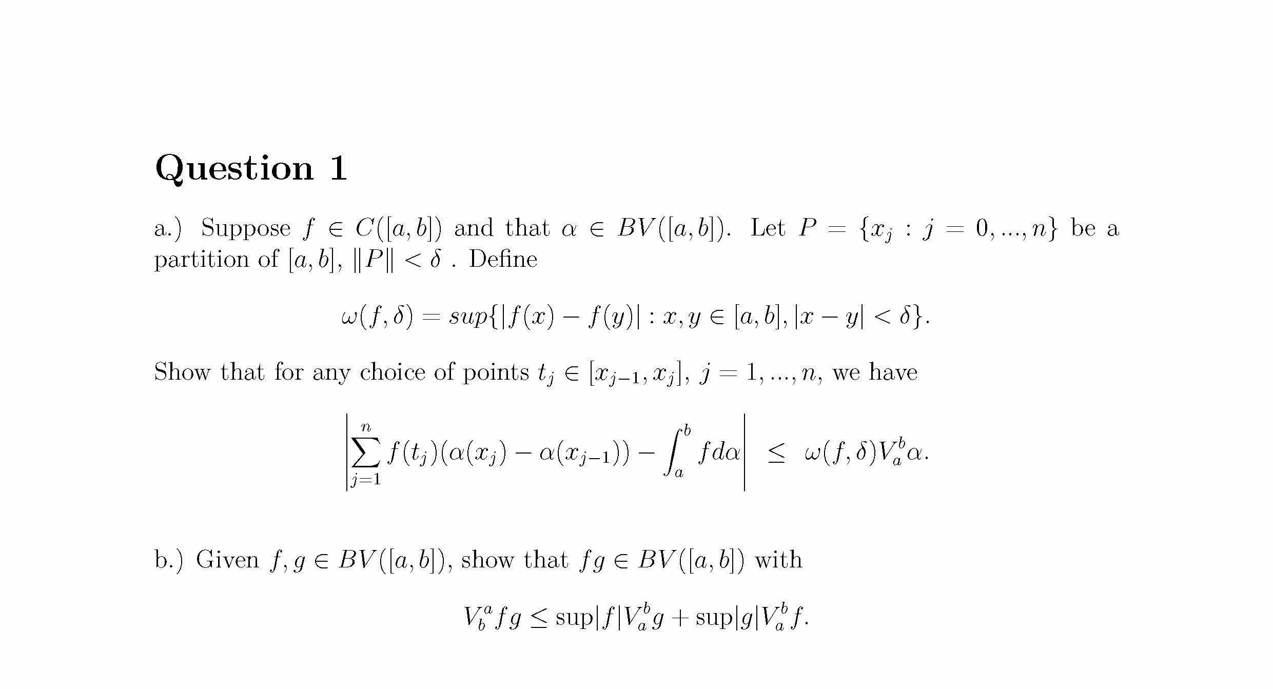
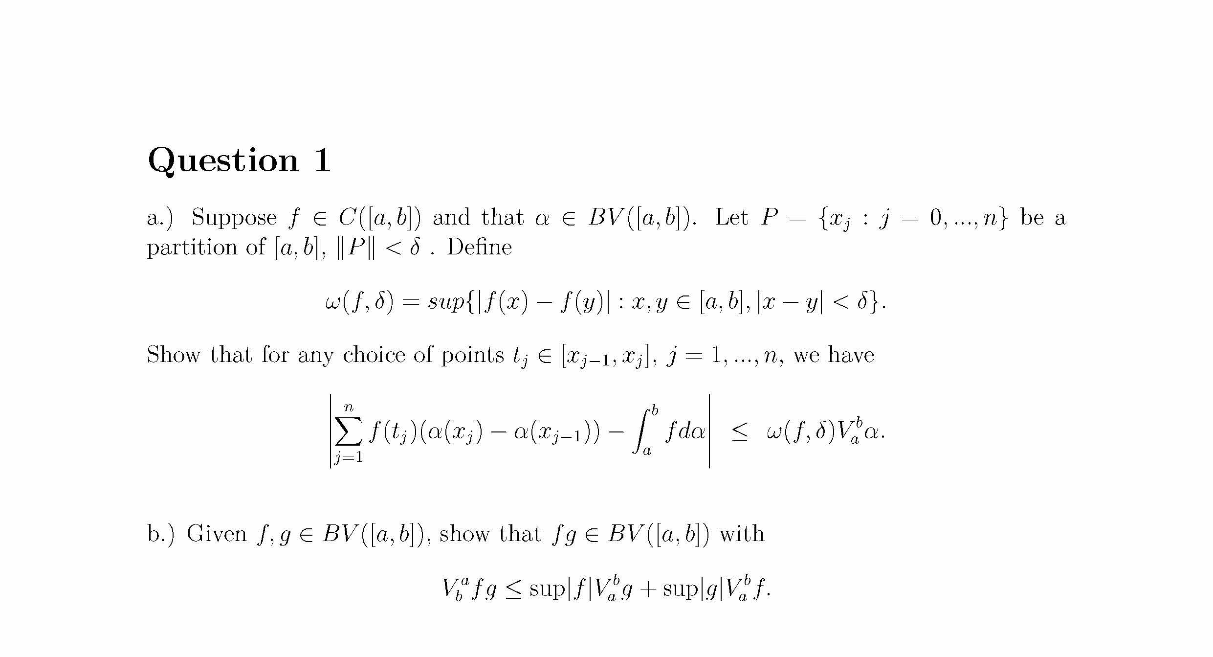
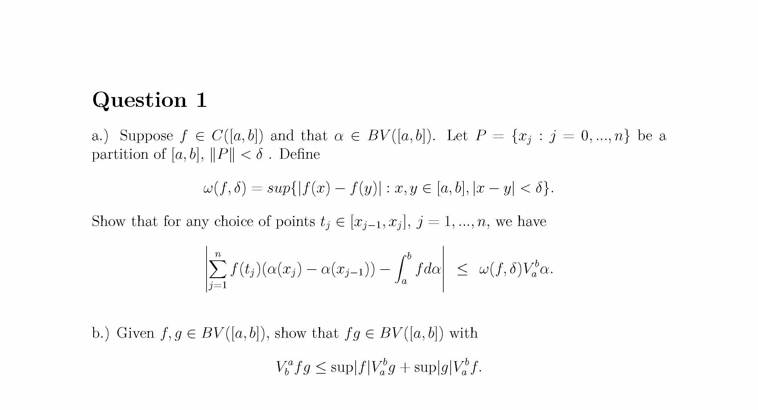
Question 1 a.) Suppose f € C([a, b]) and that a € BV(l...
Question 1 a.) Suppose f € C([a, b]) and that a € BV(la.b) Let...