Subjects
Online Tutoring
Homework Help
Homework Library
Tutors
Online Classes
More
Bookstore
Blog
Technical Tips
FAQ
Contact Us
Get Help Now
Home
Homework Library
Mathematics
Real Analysis
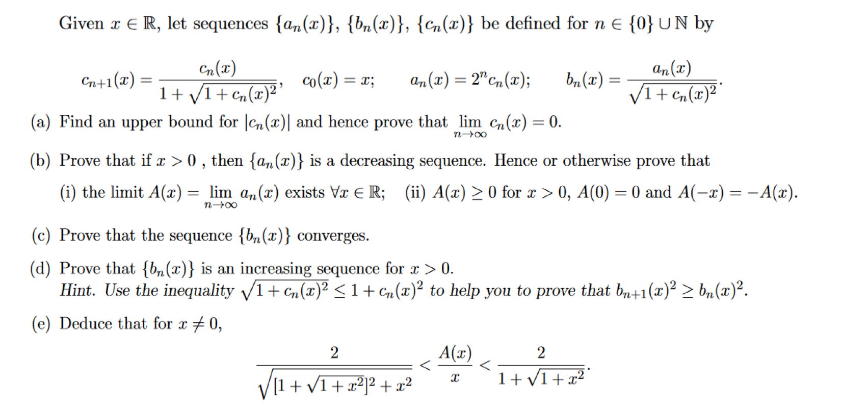
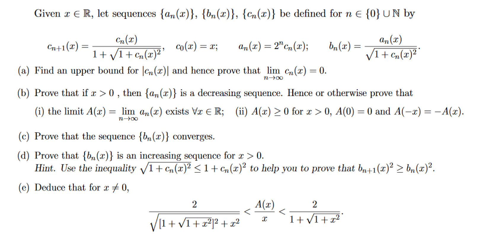
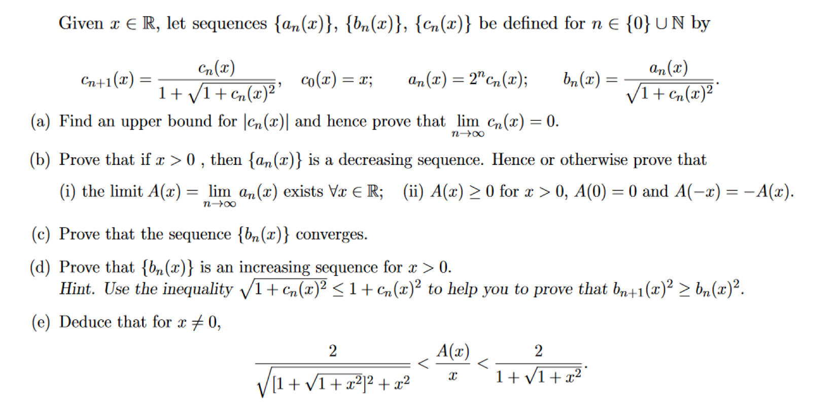
Given r E R, let sequences {an (x)} }, {bn(x)}, {cn(x)} be defined ...
Given r E R, let sequences {an (x)} }, {bn(x)}, {cn(x)} be defined...