Subjects
Online Tutoring
Homework Help
Homework Library
Tutors
Online Classes
More
Bookstore
Blog
Technical Tips
FAQ
Contact Us
Get Help Now
Home
Homework Library
Mathematics
Real Analysis
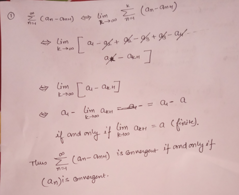
00 ) The series (an an+1) converges iff the sequence an converges...
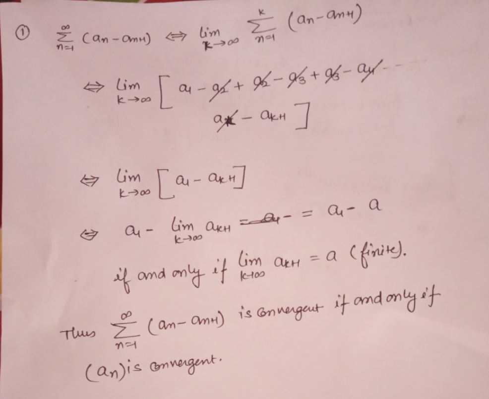
00 ) The series (an an+1) converges iff the sequence an converges...